| Обозначение: |  ГОСТ Р 72252.3-2025 |
| Статус: | принят |
| Название рус.: | Оптика и фотоника. Алмазный инструмент для обработки оптических деталей. Конструкция и размеры. Часть 3. Планшайбы |
| Название англ.: | Optics and photonics. Diamond tool for processing optical parts. Design and dimensions. Part 3. Faceplates |
| Дата актуализации текста: | 01.01.2026 |
| Дата актуализации описания: | 01.01.2026 |
| Дата издания: | 01.12.2025 |
| Дата введения: | 01.09.2026 |
| Нормативные ссылки: | ГОСТ 1050; ГОСТ 1412; ГОСТ 1583; ГОСТ 8908; ГОСТ 24643; ГОСТ Р 71951 |
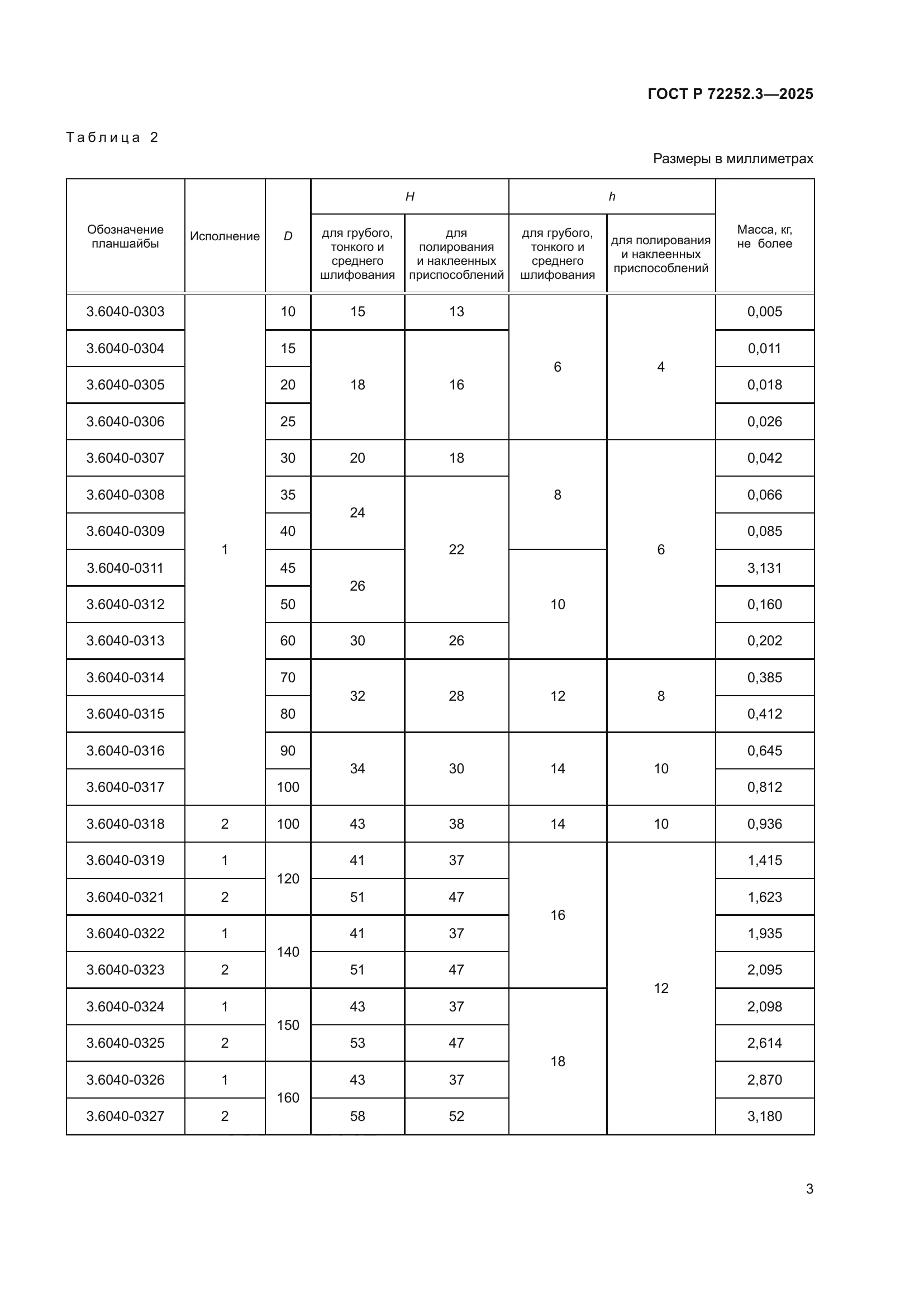
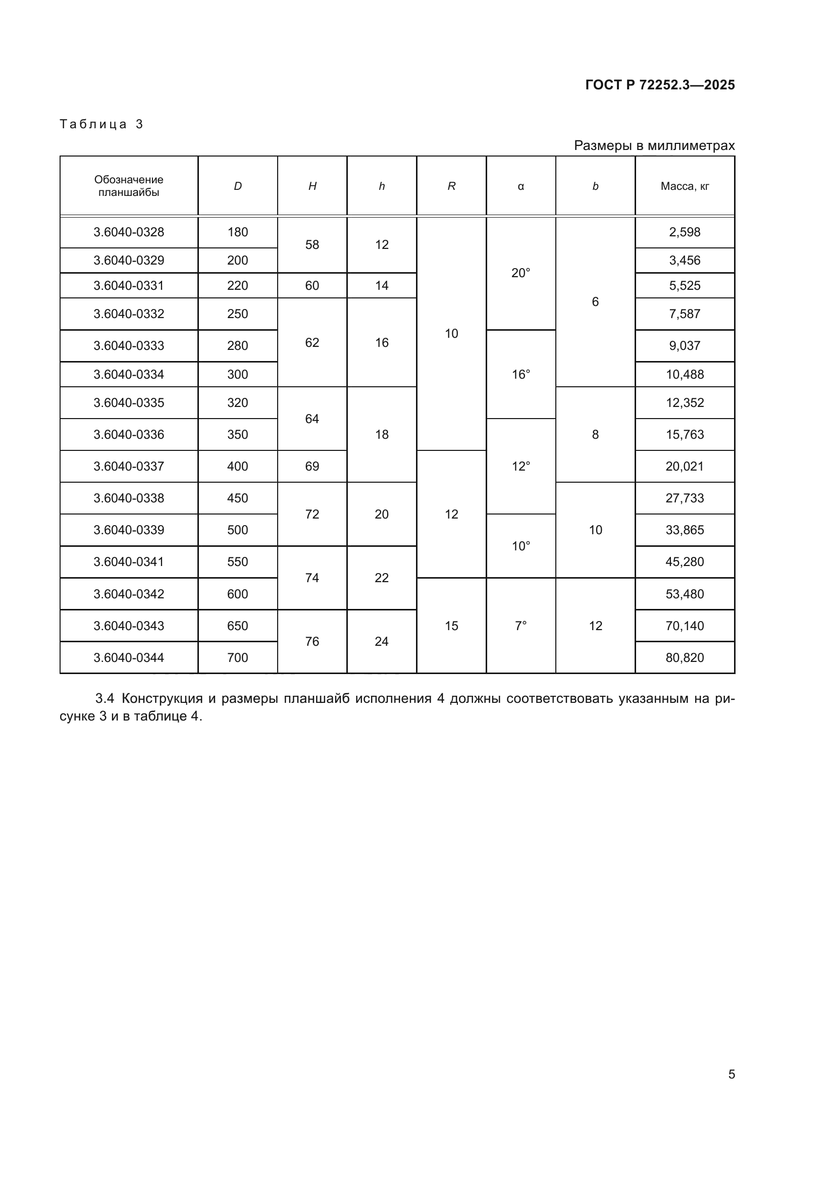
| Область применения: | Настоящий стандарт распространяется на алмазный инструмент для обработки оптических деталей в форме планшайб диаметром от 10 до 700 мм, применяемый для грубого, среднего и тонкого шлифования, полирования и эластичного блокирования оптических деталей (далее – планшайбы), и устанавливает требования к конструкции и размерам |
|