Скачать ГОСТ Р 72182.2-2025 Соединения без пайки. Часть 2. Соединения при помощи обжима. Общие требования и методы испытанийДата актуализации: 01.01.2026 ГОСТ Р 72182.2-2025
Соединения без пайки. Часть 2. Соединения при помощи обжима. Общие требования и методы испытаний
| Обозначение: |  ГОСТ Р 72182.2-2025 |
| Статус: | принят |
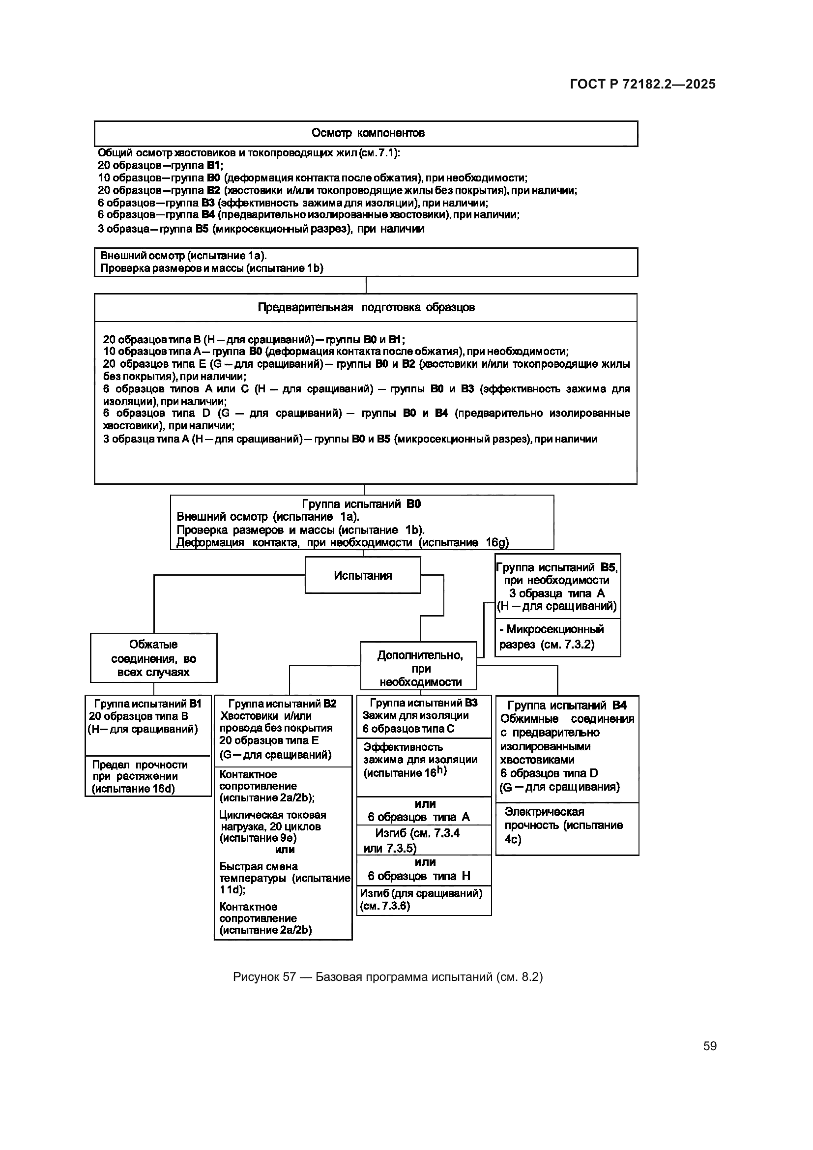
| Название рус.: | Соединения без пайки. Часть 2. Соединения при помощи обжима. Общие требования и методы испытаний | | Название англ.: | Solderless connections. Part 2. Crimped connections. General requirements and test methods | | Дата актуализации текста: | 01.01.2026 | | Дата актуализации описания: | 01.01.2026 | | Дата издания: | 12.11.2025 | | Дата введения: | 01.06.2026 | | Содержит требования: | IEC 60352-2(2024) | | Нормативные ссылки: | ГОСТ 9.302-88; ГОСТ 1497; ГОСТ 22483; ГОСТ 28198; ГОСТ 28381-89; ГОСТ 30630.1.1; ГОСТ 30630.1.2;ГОСТ IEC 60811-201; ГОСТ Р 50571.5.52; ГОСТ Р МЭК 60068-2-30; ГОСТ Р МЭК 61191-1 | | Область применения: | Настоящий стандарт распространяется на соединения без пайки при помощи обжима, которые сделаны: - с неизолированными или предварительно изолированными хвостовиками как часть обжимных контактов, кабельных наконечников или сращиваний и - из многожильного провода с поперечным сечением от 0,05 до 10,00 мм2 или - одножильного провода с поперечным сечением от 0,05 до 10,00 мм2 (от 0,25 до 3,60 мм в диаметре)для использования в электрических и электронных устройствах. Настоящий стандарт не распространяется на обжатие коаксиальных кабелей. Настоящий стандарт содержит требования для соединений с помощью обжима исключая применение пайки, при определенных механических, электрических и атмосферных условиях, а также методику сравнения результатов испытаний, для соединений выполненных при помощи устройств с различной конструкций | |
                                                                                                        
|