| Обозначение: |  ГОСТ Р 60.0.7.6-2025 |
| Статус: | действующий |
| Название рус.: | Роботы и робототехнические устройства. Общая информационная модель. Описание общей информационной модели |
| Название англ.: | Robots and robotic devices. Integration of robotic systems. Description of the general information model |
| Дата актуализации текста: | 01.01.2026 |
| Дата актуализации описания: | 01.01.2026 |
| Дата издания: | 01.12.2025 |
| Дата введения: | 01.01.2026 |
| Нормативные ссылки: | ГОСТ Р 7.0.64; ГОСТ Р 60.0.0.4; ГОСТ Р 60.0.0.22; ГОСТ Р ИСО/МЭК 11179-5 |
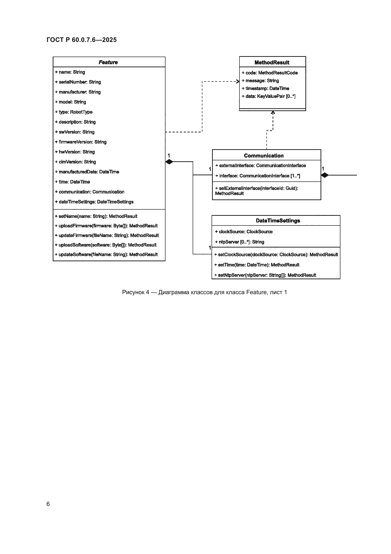
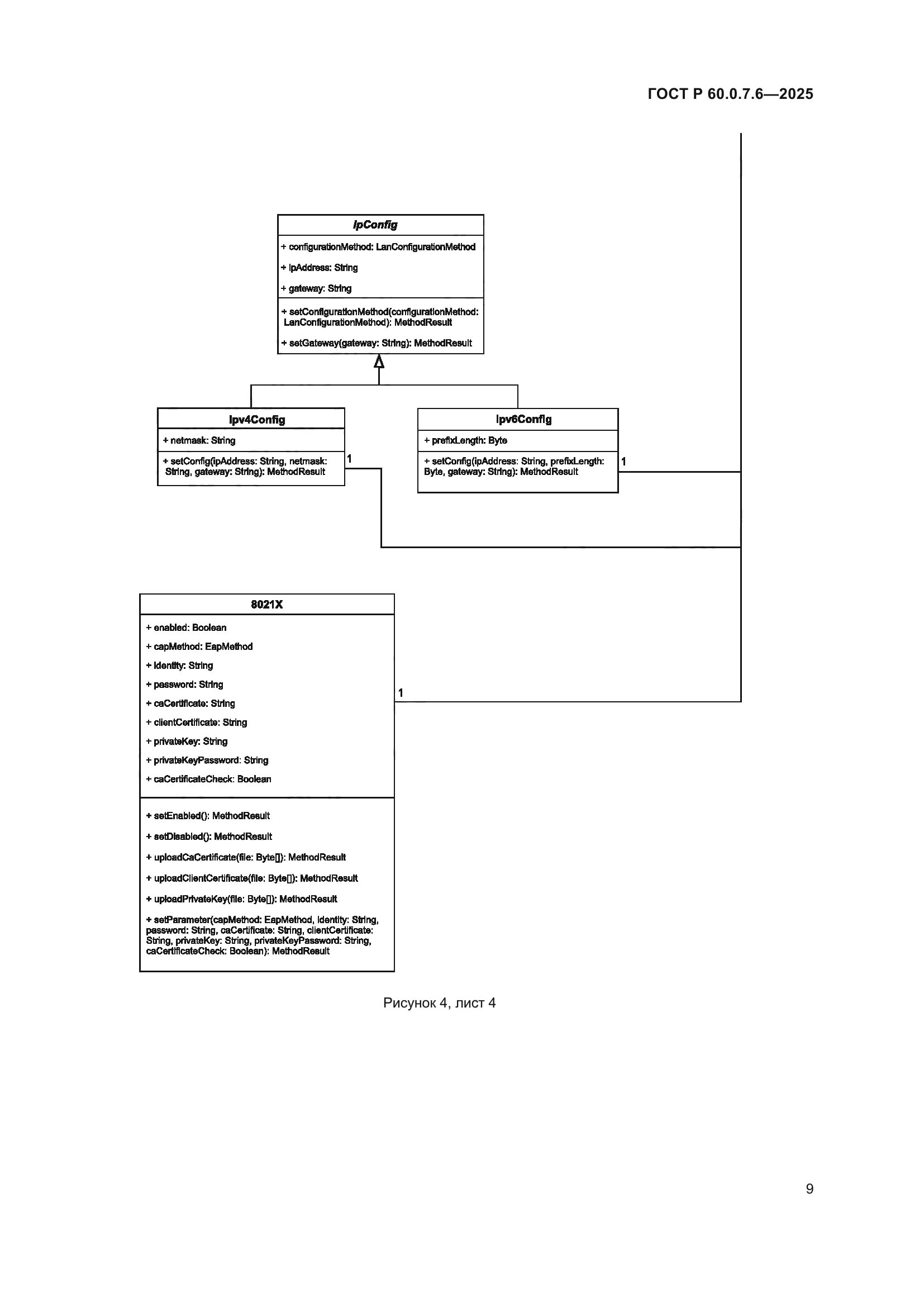
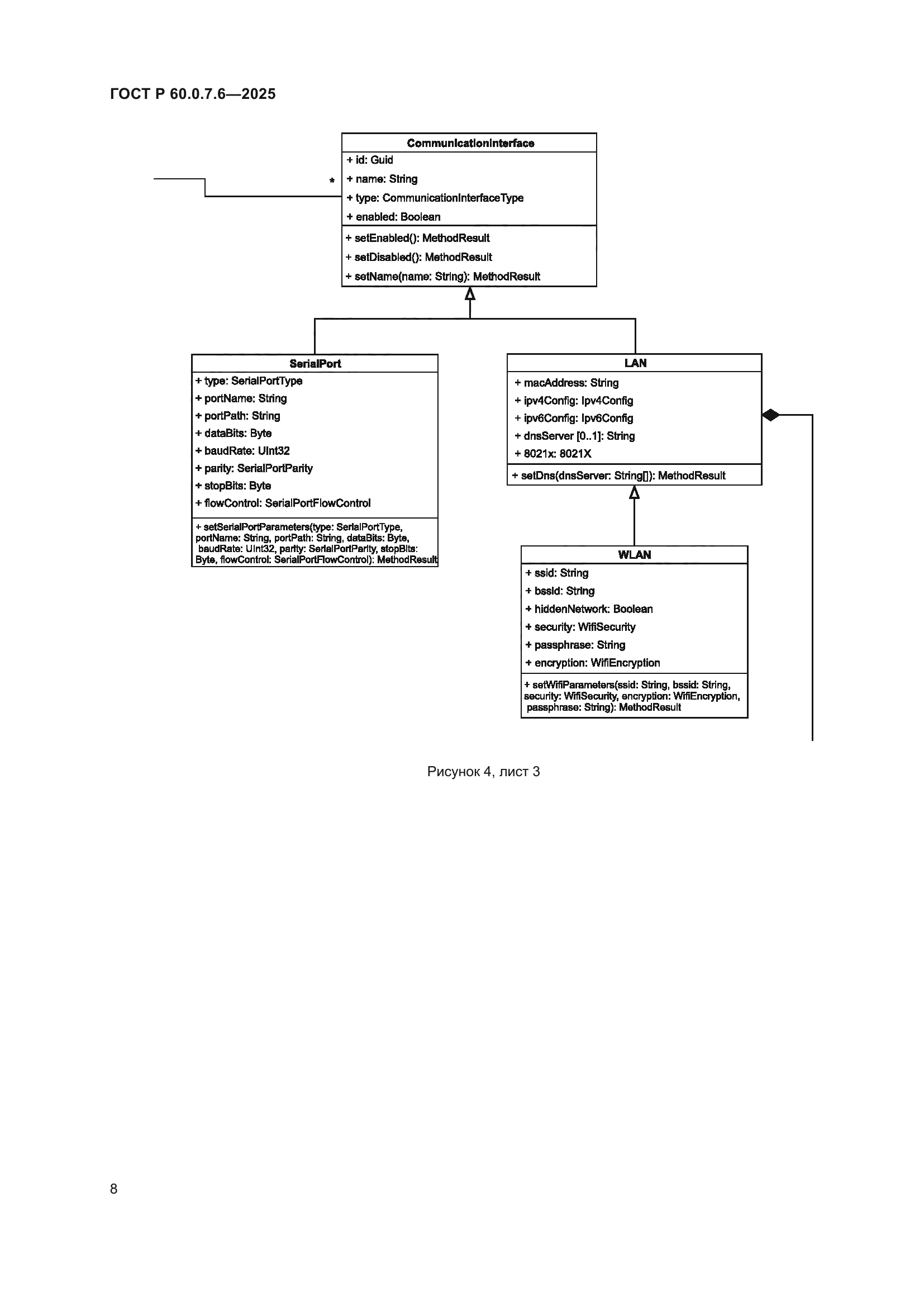
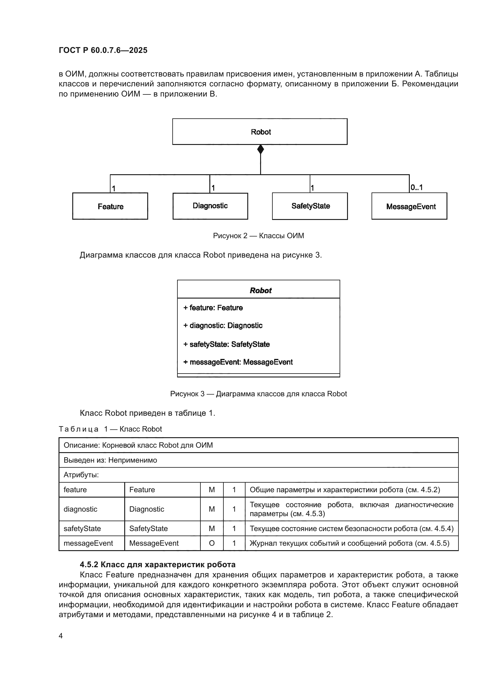
| Область применения: | Настоящий стандарт устанавливает требования к ОИМ роботов различного назначения. ОИМ представляет собой формализованную структуру описания состава, компонентов, параметров и состо- яния робота, предназначенную для его интеграции в информационные системы, автоматизированные системы управления, цифровые двойники, а также для взаимодействия с другими роботами. Стандарт определяет архитектуру ОИМ, включая: - состав и структуру классов и объектов модели; - системные и прикладные атрибуты компонентов робота; - правила построения иерархии и связей между частями робота |
|