Скачать ГОСТ Р 72182.3-2025 Соединения без пайки. Часть 3. Соединения при помощи прорезания изоляции с доступом. Общие требования и методы испытанийДата актуализации: 01.01.2026 ГОСТ Р 72182.3-2025
Соединения без пайки. Часть 3. Соединения при помощи прорезания изоляции с доступом. Общие требования и методы испытаний
| Обозначение: |  ГОСТ Р 72182.3-2025 |
| Статус: | принят |
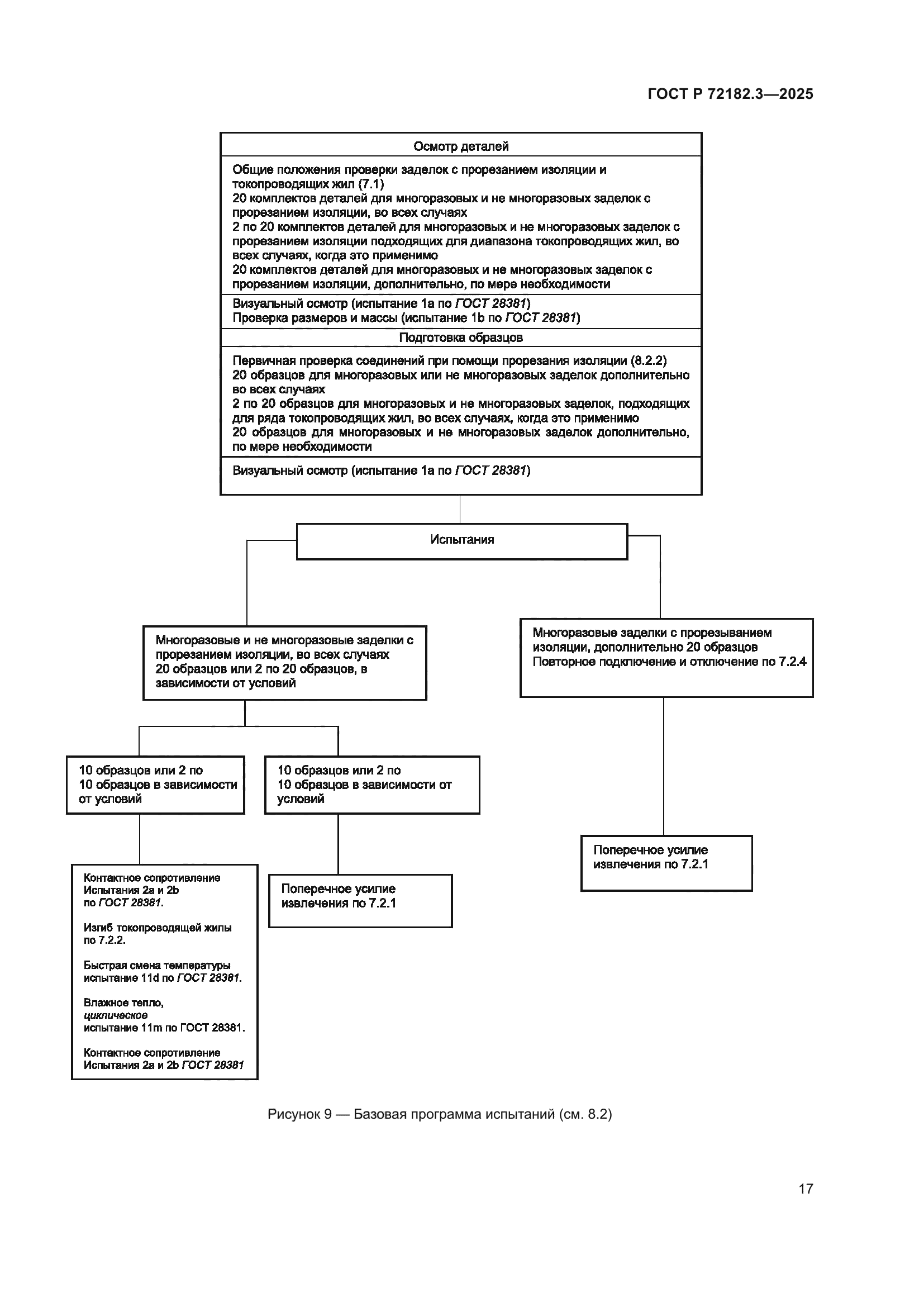
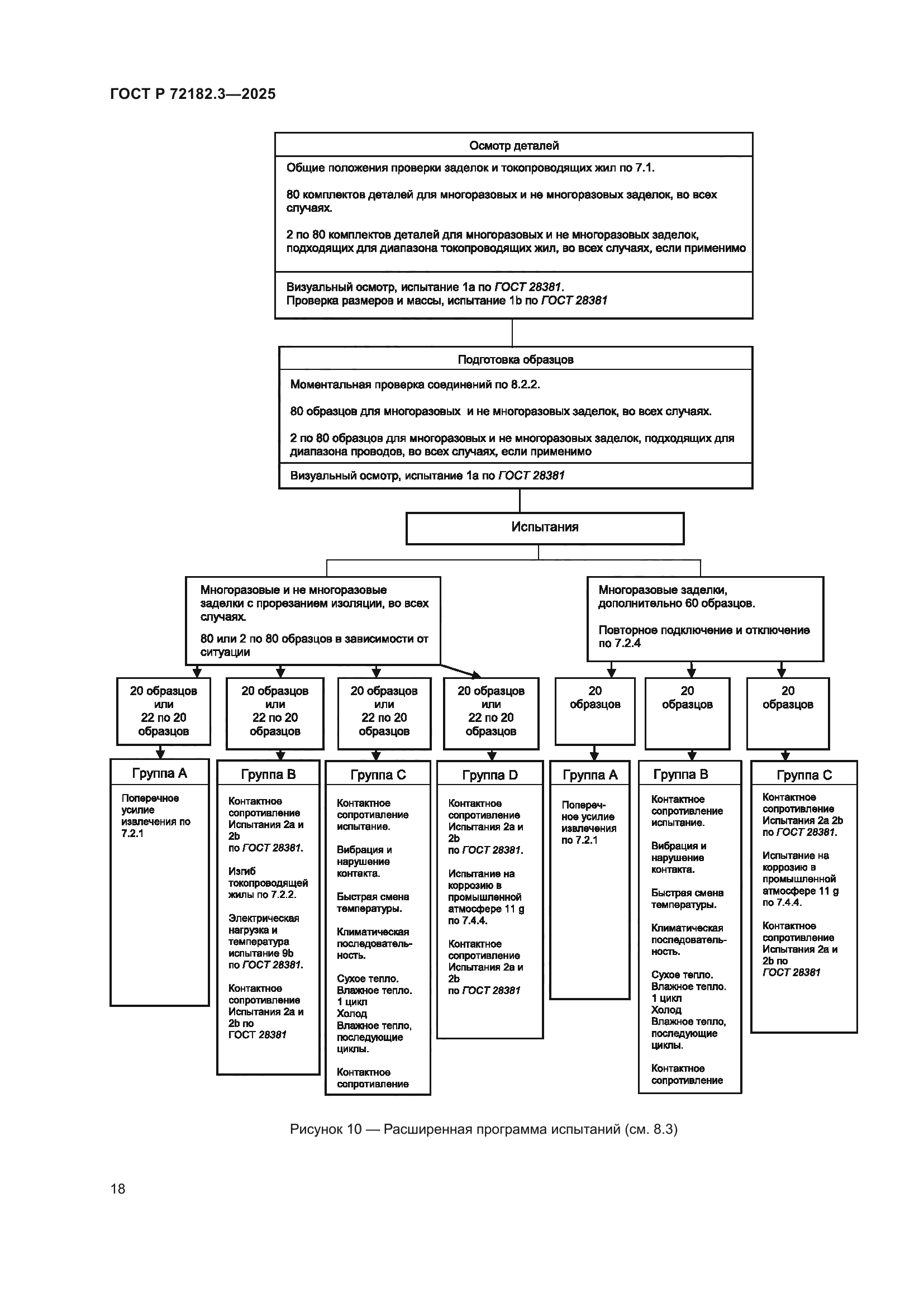
| Название рус.: | Соединения без пайки. Часть 3. Соединения при помощи прорезания изоляции с доступом. Общие требования и методы испытаний | | Название англ.: | Solderless connections. Part 3. Accessible insulation displacement connections. General requirements and test methods | | Дата актуализации текста: | 01.01.2026 | | Дата актуализации описания: | 01.01.2026 | | Дата издания: | 19.11.2025 | | Дата введения: | 01.06.2026 | | Содержит требования: | IEC 60352-3(2020) | | Нормативные ссылки: | ГОСТ 22483; ГОСТ 28381-89 | | Область применения: | Настоящий стандарт распространяется на соединения с прорезанием изоляции (СПИ) с доступом, которые доступны для испытаний и измерений в соответствии с разделами 6 – 8 и выполнены: – в соответствии с предъявляемыми требованиями к СПИ с доступом, – при помощи проводов с однопроволочными токопроводящими круглыми жилами номинальным диаметром от 0,25 до 3,6 мм, – при помощи проводов с многопроволочными токопроводящим жилами с номинальным сечением от 0,05 до 10 мм2, для использования в электрическом и электронном оборудовании и компонентах. Характеристики применяемых материалов включены в качестве дополнения к методам испытаний для обеспечения электрической стабильности соединений согласно с условиями воздействия окружающей среды. Целью настоящего стандарта является: – определение требований к СПИ с доступом при механических, электрических и атмосферных воздействиях; – предоставление методики проверки соответствия инструментов, используемых для выполнения СПИ с доступом | |
                              
|