Скачать ГОСТ 35322.1-2025 Модули фотоэлектрические. Оценка соответствия техническим требованиям. Часть 1. Требования к испытаниямДата актуализации: 01.01.2026 ГОСТ 35322.1-2025
Модули фотоэлектрические. Оценка соответствия техническим требованиям. Часть 1. Требования к испытаниям
| Обозначение: |  ГОСТ 35322.1-2025 |
| Статус: | принят |
| Название рус.: | Модули фотоэлектрические. Оценка соответствия техническим требованиям. Часть 1. Требования к испытаниям | | Название англ.: | Photovoltaic modules. Evaluation of compliance with technical requirements. Part 1. Test requirements | | Дата актуализации текста: | 01.01.2026 | | Дата актуализации описания: | 01.01.2026 | | Дата регистрации: | 31.10.2025 | | Дата издания: | 24.11.2025 | | Дата введения: | 10.02.2026 | | Нормативные ссылки: | ГОСТ 12.1.009; ГОСТ 12.4.026-2015; ГОСТ 1494; ГОСТ 18311; ГОСТ 30630.0.0; ГОСТ 34100.3; ГОСТ 34999; ГОСТ 35322.1.1; ГОСТ 35322.1.3; ГОСТ 35322.1.4; ГОСТ 35322.2-2025;ГОСТ IEC 60050-300;ГОСТ IEC 60269-6;ГОСТ IEC 61140-2012;ГОСТ ISO/IEC 17025 | | Область применения: | Настоящий стандарт распространяется на плоские фотоэлектрические модули, предназначенные для длительной работы на открытом воздухе, и устанавливает общие требования для оценки соответствия таких модулей техническим требованиям. Методы испытаний фотоэлектрических модулей на соответствие техническим требованиям установлены в ГОСТ 35322.2. Специальные требования для фотоэлектрических модулей, изготовленных по разным технологиям, установлены в ГОСТ 35322.1.1, ГОСТ 35322.1.3 и ГОСТ 35322.1.4 (см. также [1]). Стандарт применим к плоским фотоэлектрическим модулям (приемникам излучения), предназначенным для работы при концентрированном излучении со степенью концентрации не более трех. Однако для таких фотоэлектрических модулей испытаний по настоящему стандарту, ГОСТ 35322.2, а также ГОСТ 35322.1.1, ГОСТ 35322.1.3 или ГОСТ 35322.1.4 (см. также [1]) может быть недостаточно. Испытания таких модулей следует проводить при значениях тока, напряжения и мощности, ожидаемых при максимальной концентрации, на которую они рассчитаны | |
                                      
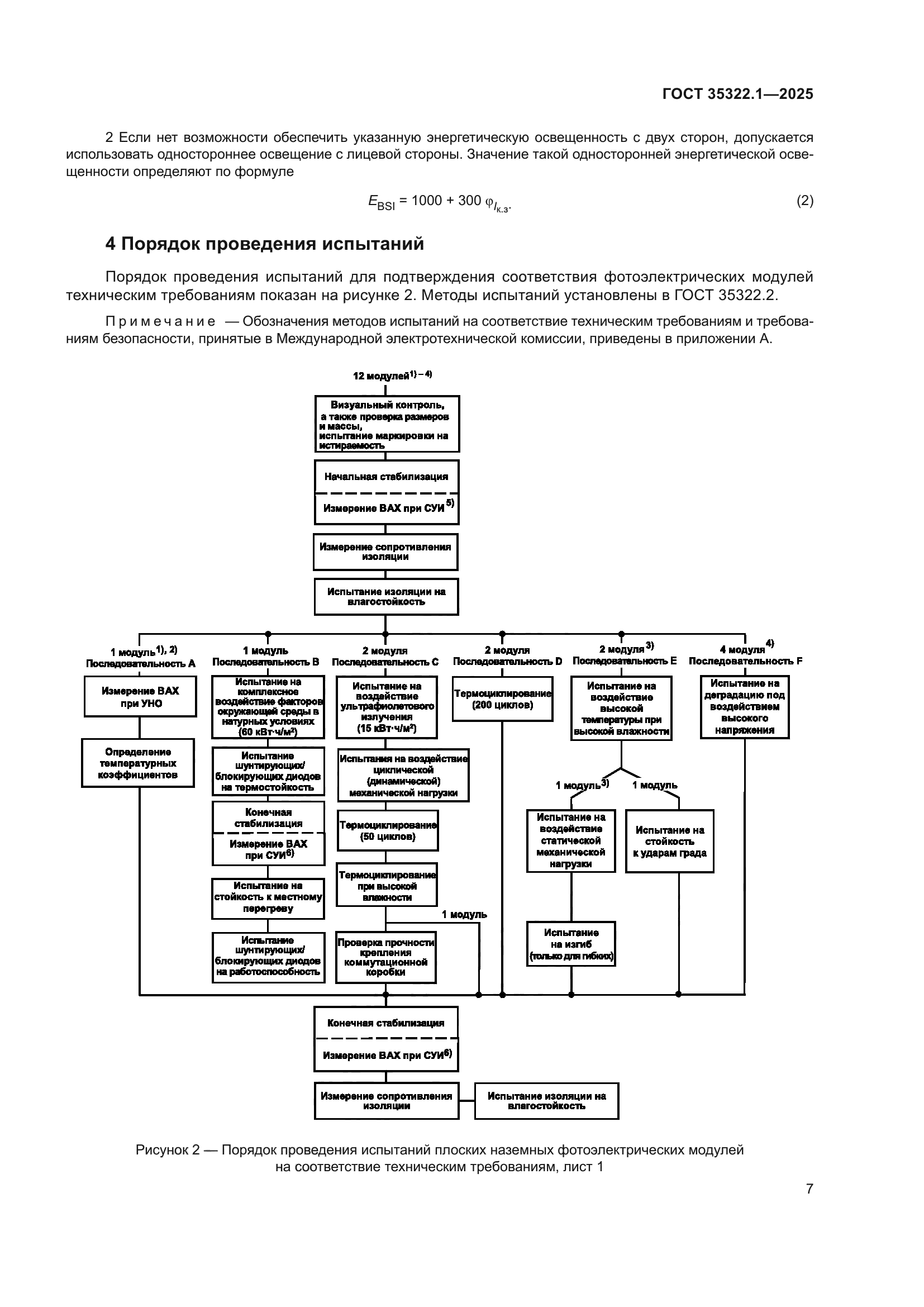
|