| Обозначение: |  ГОСТ Р 72271-2025 |
| Статус: | принят |
| Название рус.: | Ресурсосбережение. Обращение с отходами. Топливо твердое из коммунальных отходов. Методы подготовки лабораторной пробы |
| Название англ.: | Resources saving. Waste treatment. Solid recovered fuels. Sample preparation |
| Дата актуализации текста: | 01.01.2026 |
| Дата актуализации описания: | 01.01.2026 |
| Дата издания: | 19.11.2025 |
| Дата введения: | 01.02.2026 |
| Содержит требования: | ISO 21646:2022 |
| Нормативные ссылки: | ГОСТ 33515; ГОСТ Р 51568; ГОСТ Р 54231; ГОСТ Р 54232; ГОСТ Р 55120; ГОСТ Р 72265; ГОСТ Р 72270; ГОСТ Р 72273 |
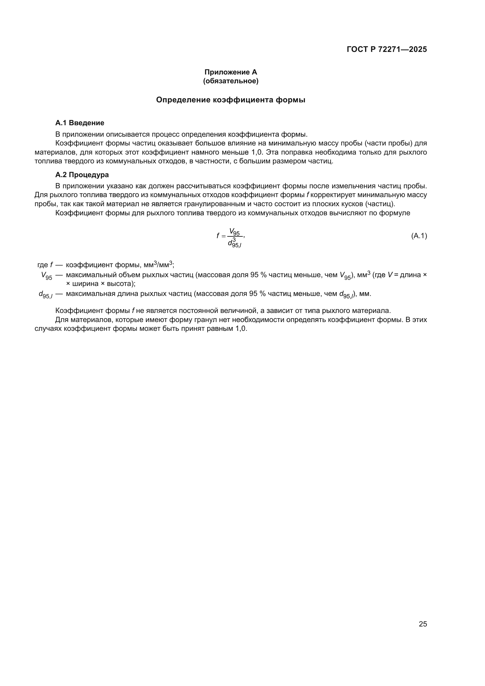
| Область применения: | Настоящий стандарт описывает методы подготовки проб для обеспечения репрезентативности проб на протяжении всех процедур их подготовки для получения лабораторных проб для общего анализа. Подходящие пробы для испытаний могут быть взяты из лабораторных или аналитических проб и использованы для анализа в соответствии с конкретными требованиями, определенными в соответствующих аналитических процедурах. В настоящем стандарте указана правильная последовательность подготовки проб, которая должна применяться к: a) объединенной пробе для получения лабораторной пробы (с учетом наличия крупных кусков топлива твердого из коммунальных отходов); b) каждому этапу подвыборки на протяжении всей программы испытаний; c) лабораторной пробе для получения подходящих проб для испытаний; d) обеспечению репрезентативности проб для испытаний, которые были взяты в соответствии с планом подготовки образцов, перед проведением физических испытаний и (или) химических анализов (например, экстракцией, вывариванием, аналитическими определениями) |
|