| Обозначение: |  ГОСТ Р 72216-2025 |
| Статус: | принят |
| Название рус.: | Цифровая промышленность. Унифицированная архитектура OPC. Часть 9. Аварийные сигналы и условия |
| Название англ.: | Digital industry. OPC unified architecture. Part 9. Alarms and conditions |
| Дата актуализации текста: | 01.01.2026 |
| Дата актуализации описания: | 01.01.2026 |
| Дата издания: | 13.11.2025 |
| Дата введения: | 30.01.2026 |
| Нормативные ссылки: | ГОСТ Р МЭК 62682; ГОСТ Р 71808; ГОСТ Р 71809; ГОСТ Р 71810; ГОСТ Р 72214; ГОСТ Р 72215; ГОСТ Р 72218 |
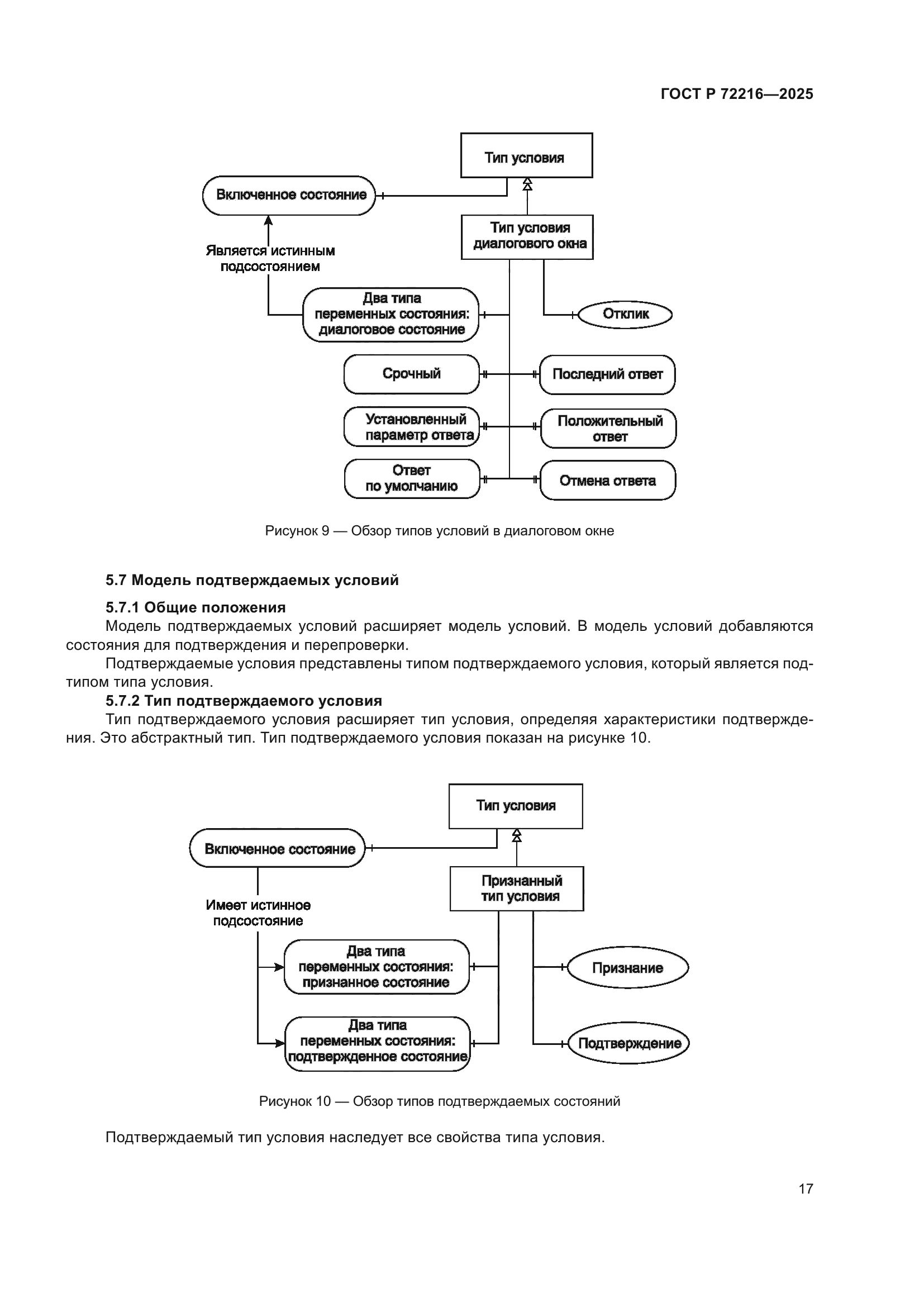
| Область применения: | Настоящий стандарт определяет аварийные сигналы и условия в соответствии с унифицированной архитектурой (UA) открытой платформы взаимодействия (OPC). В стандарте приведены термины и определения, относящиеся к аварийным сигналам и условиям, выполняемым серверами и устройствами путем реализации программного кода |
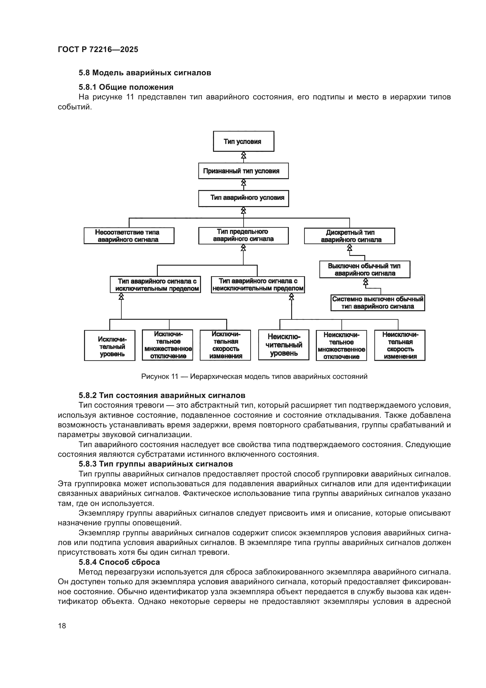
|