Скачать ГОСТ Р ИСО 20399-2025 Биотехнология. Средства лекарственные биологические для медицинского применения. Вспомогательные материалы, используемые при производстве клеточных препаратовДата актуализации: 01.01.2026 ГОСТ Р ИСО 20399-2025
Биотехнология. Средства лекарственные биологические для медицинского применения. Вспомогательные материалы, используемые при производстве клеточных препаратов
| Обозначение: |  ГОСТ Р ИСО 20399-2025 |
| Статус: | принят |
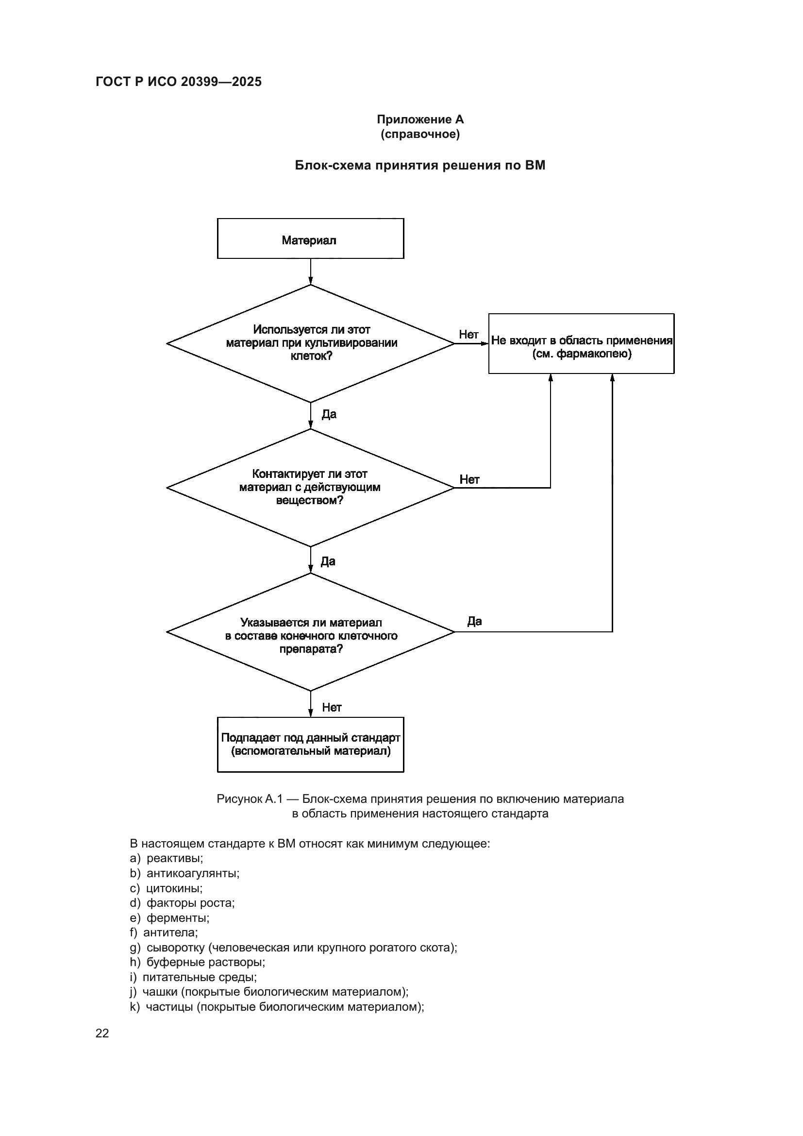
| Название рус.: | Биотехнология. Средства лекарственные биологические для медицинского применения. Вспомогательные материалы, используемые при производстве клеточных препаратов | | Название англ.: | Biotechnology. Biological products for medical use. Ancillary materials present during the production of cellular therapeutic products | | Дата актуализации текста: | 01.01.2026 | | Дата актуализации описания: | 01.01.2026 | | Дата издания: | 12.11.2025 | | Дата введения: | 01.03.2026 | | Аутентичен стандартам: | ISO 20399:2022 | | Нормативные ссылки: | ISO 8601-1 | | Область применения: | Настоящий стандарт устанавливает требования и рекомендации в отношении поставщиков и пользователей вспомогательных материалов (ВМ) для улучшения стабильности и качества ВМ биологического (человеческого и животного) и химического происхождения, используемых при производстве препаратов клеточной и генной терапии для медицинского применения. Настоящий стандарт распространяется на материалы, использующиеся в ходе производства клеток и вступающие в контакт с действующим веществом, но не вводятся преднамеренно в состав готового препарата клеточной и генной терапии для придания необходимых свойств. Настоящий стандарт не распространяется на материалы, которые не используют для манипуляций с клетками, не вступают в контакт с действующим веществом, или материалы, которые включены в состав готового препарата клеточной и генной терапии для придания необходимых свойств. Блок-схема принятия решений приведена в приложении А | |
                                  
|