| Обозначение: |  ГОСТ Р 60.4.3.4-2025 |
| Статус: | действующий |
| Название рус.: | Роботы и робототехнические устройства. Промышленные транспортные роботы. Руководство по организации ухудшения связи при проведении испытаний на стадиях жизненного цикла |
| Название англ.: | Robots and robotic devices. Industrial transport robots. Guidelines for the implementing communications impairments during testing at life cycle stages |
| Дата актуализации текста: | 01.01.2026 |
| Дата актуализации описания: | 01.01.2026 |
| Дата издания: | 05.11.2025 |
| Дата введения: | 01.01.2026 |
| Содержит требования: | ASTM F3243-21 |
| Нормативные ссылки: | ГОСТ Р 60.0.0.4; ГОСТ Р 60.0.0.7; ГОСТ Р 60.4.0.1; ГОСТ Р 60.4.3.1; ГОСТ Р 60.4.3.2; ГОСТ Р 60.4.3.5; ГОСТ Р 60.6.2.2 |
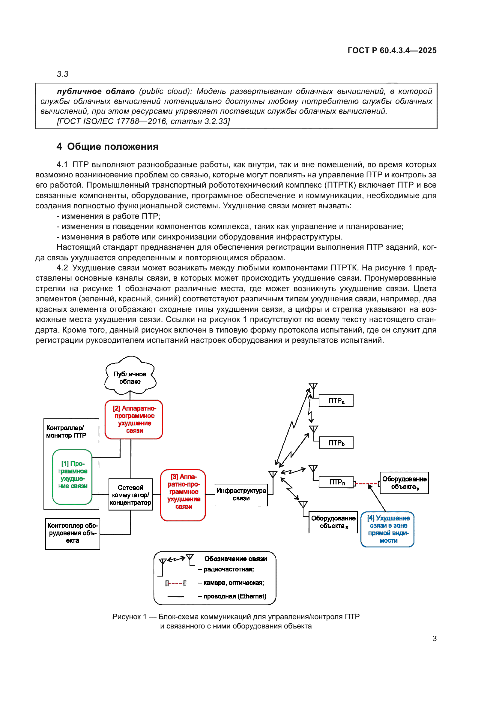
| Область применения: | Настоящий стандарт устанавливает требования к проведению испытаний автоматического, автоматизированного или автономного промышленного транспортного робота (ПТР) на стадиях жизненного цикла, направленных на определение влияния ухудшения связи на его работоспособность. Система управления ПТР обычно использует связь между ПТР и внешними стационарными системами и ресурсами, такими как внешняя система управления, система планирования работ и управления группой роботов, управление взаимодействием инфраструктурного оборудования или программы облачных вычислений для решения текущих задач. Ухудшения связи могут привести к различным заранее непрогнозируемым нарушениям работоспособности ПТР или срыву выполнения задания |
|