Скачать ГОСТ Р 72308-2025 Безопасность оборудования. Руководство по функциональной безопасности системы управления, связанной с безопасностьюДата актуализации: 01.01.2026 ГОСТ Р 72308-2025
Безопасность оборудования. Руководство по функциональной безопасности системы управления, связанной с безопасностью
| Обозначение: |  ГОСТ Р 72308-2025 |
| Статус: | действующий |
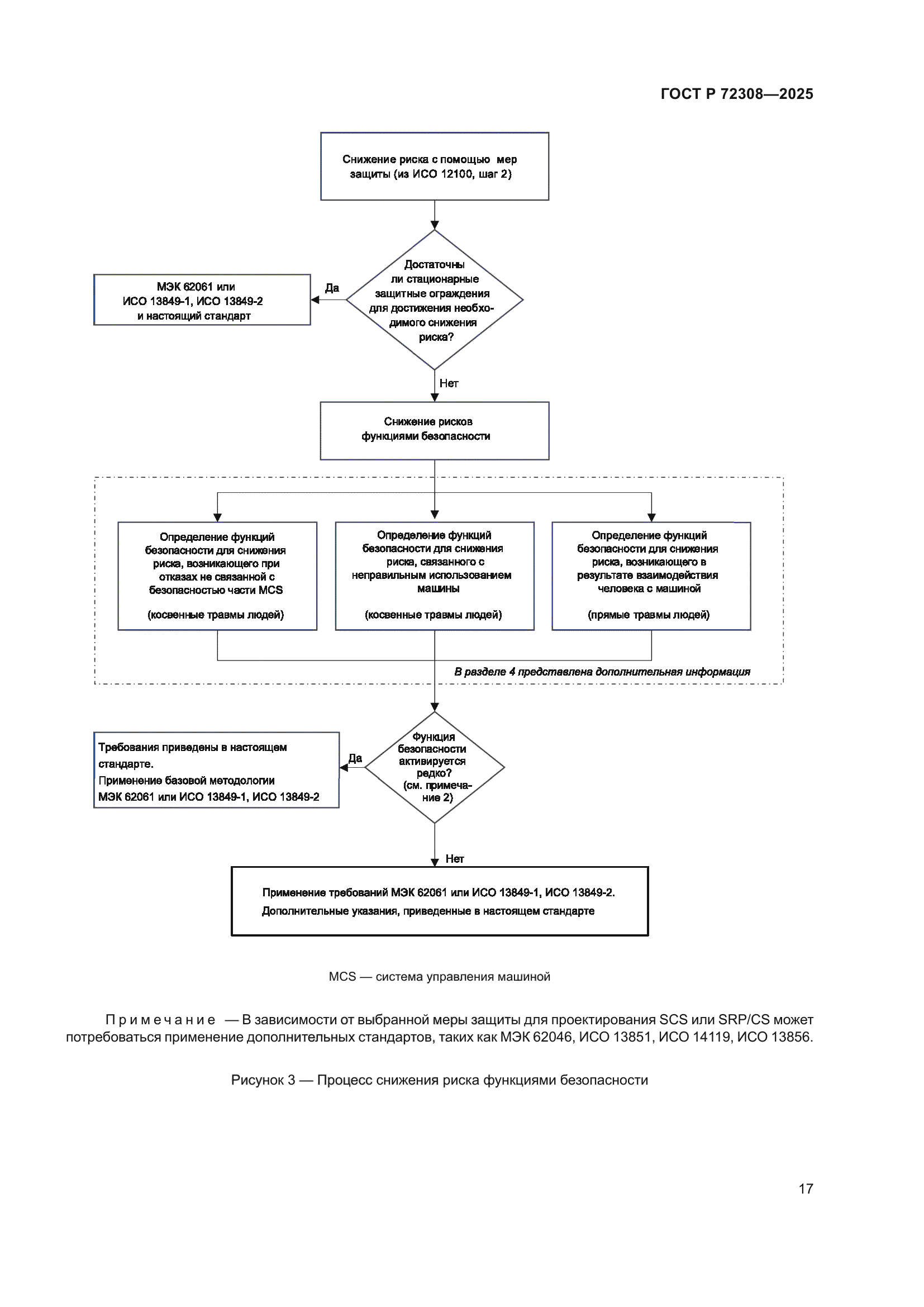
| Название рус.: | Безопасность оборудования. Руководство по функциональной безопасности системы управления, связанной с безопасностью | | Название англ.: | Safety of machinery. Guidelines on functional safety of safety-related control system | | Дата актуализации текста: | 01.01.2026 | | Дата актуализации описания: | 01.01.2026 | | Дата издания: | 21.10.2025 | | Дата введения: | 01.01.2026 | | Аутентичен стандартам: | IEC TS 63394(2023) | | Нормативные ссылки: | ISO 12100:2010;ISO 13849-1:2015;ISO 13850:2015;ISO 13851:2019;ISO 14118:2017;ISO 14119:2013;IEC 62061(2021);IEC TR 63074(2019) | | Область применения: | В контексте безопасности машин базовый стандарт МЭК 62061 вместе с ИСО 13849-1 для изготовителей машин содержит требования и рекомендации по проектированию, разработке и интеграции систем управления, связанных с безопасностью (SCS) или связанных с безопасностью частей систем управления (SRP/CS), в зависимости от используемой технологии (механической, пневматической, гидравлической или электрической) для выполнения функций безопасности. Настоящий стандарт не заменяет ИСО 13849-1 и МЭК 62061, а устанавливает дополнительные рекомендации по применению МЭК 62061 или ИСО 13849-1. Настоящий стандарт: содержит рекомендации и определяет дополнительные требования к конкретным функциям безопасности на основе методологии ИСО 12100, которые применимы к машинам и удовлетворяют типичным граничным условиям машин; - рассматривает функции безопасности, которые предназначены для режима работы с высокой частотой запросов, но используются редко и называются редко активируемыми функциями безопасности | |
                                                                                                                
|