| Обозначение: |  ГОСТ Р 72303-2025 |
| Статус: | действующий |
| Название рус.: | Информационные технологии. Биометрия. Биометрическое сравнение на идентификационной карте. Механизм распределения |
| Название англ.: | Information technology. Biometrics. On-card biometric comparison. Work-sharing mechanism |
| Дата актуализации текста: | 01.01.2026 |
| Дата актуализации описания: | 01.01.2026 |
| Дата издания: | 14.10.2025 |
| Дата введения: | 01.01.2026 |
| Нормативные ссылки: | ГОСТ ISO/IEC 2382-37; ГОСТ Р 58230; ГОСТ Р 58294; ГОСТ Р 58671; ГОСТ Р ИСО/МЭК 7816-4; ГОСТ Р ИСО/МЭК 17839-1 |
| Область применения: | Настоящий стандарт устанавливает требования к процедуре биометрического сравнения на идентификационной карте с механизмом распределения. Настоящий стандарт не устанавливает требования: - к архитектуре биометрического сравнения с использованием карт на интегральных схемах ICC; - политике безопасности для биометрического сравнения на идентификационной карте; - процедуре биометрического сравнения вне идентификационной карты; - биометрической системе на идентификационной карте; - хранению и процессу сравнения применительно к конкретным биометрическим модальностям |
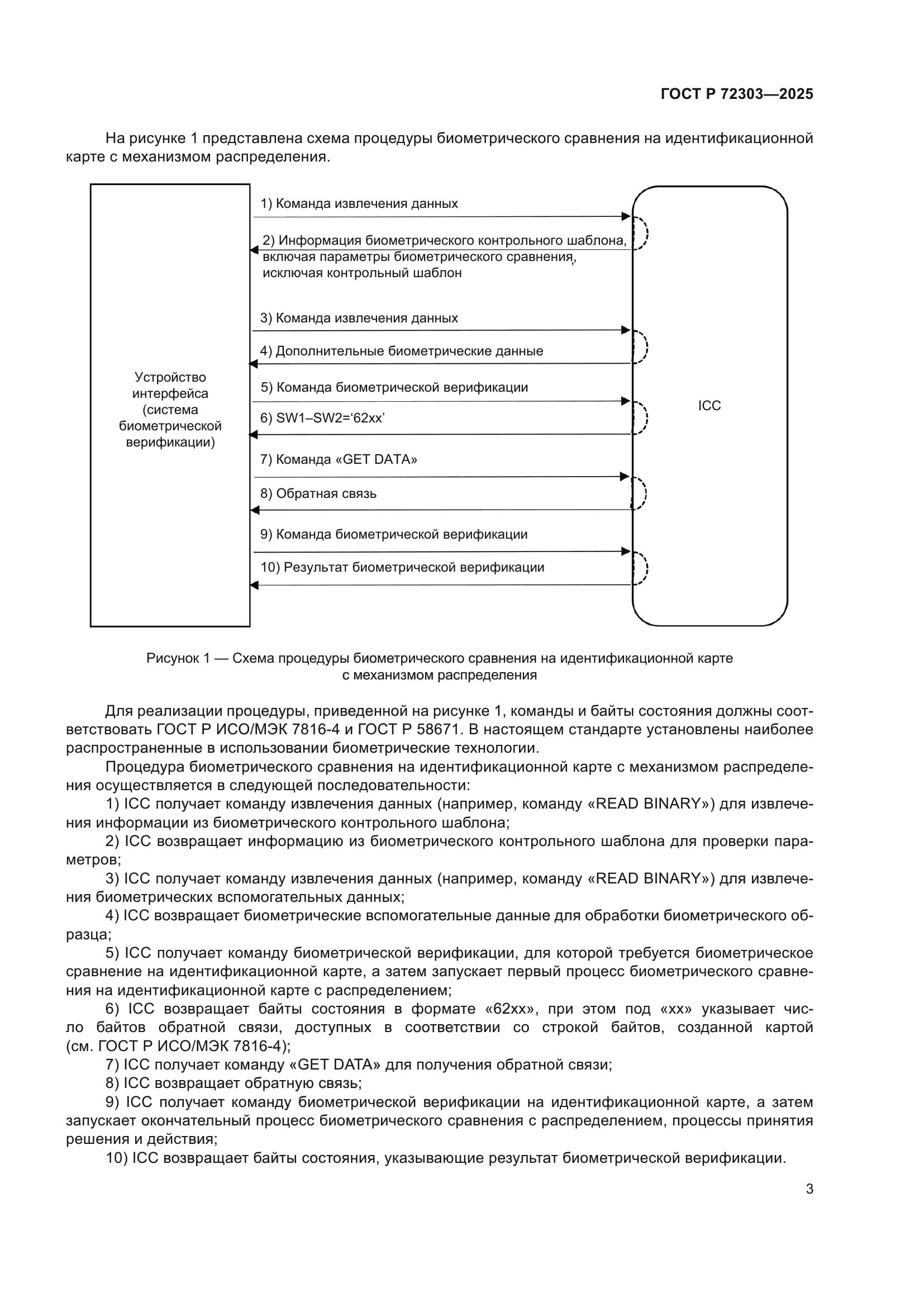
|