| Обозначение: |  ГОСТ Р 58624.4-2025 |
| Статус: | действующий |
| Название рус.: | Информационные технологии. Биометрия. Обнаружение атаки на биометрическое предъявление. Часть 4. Профиль для испытаний на мобильных устройствах |
| Название англ.: | Information technology. Biometrics. Biometric presentation attack detection. Part 4. Profile for testing on mobile devices |
| Дата актуализации текста: | 01.01.2026 |
| Дата актуализации описания: | 01.01.2026 |
| Дата издания: | 09.10.2025 |
| Дата введения: | 01.01.2026 |
| Содержит требования: | ISO/IEC 30107-4:2024 |
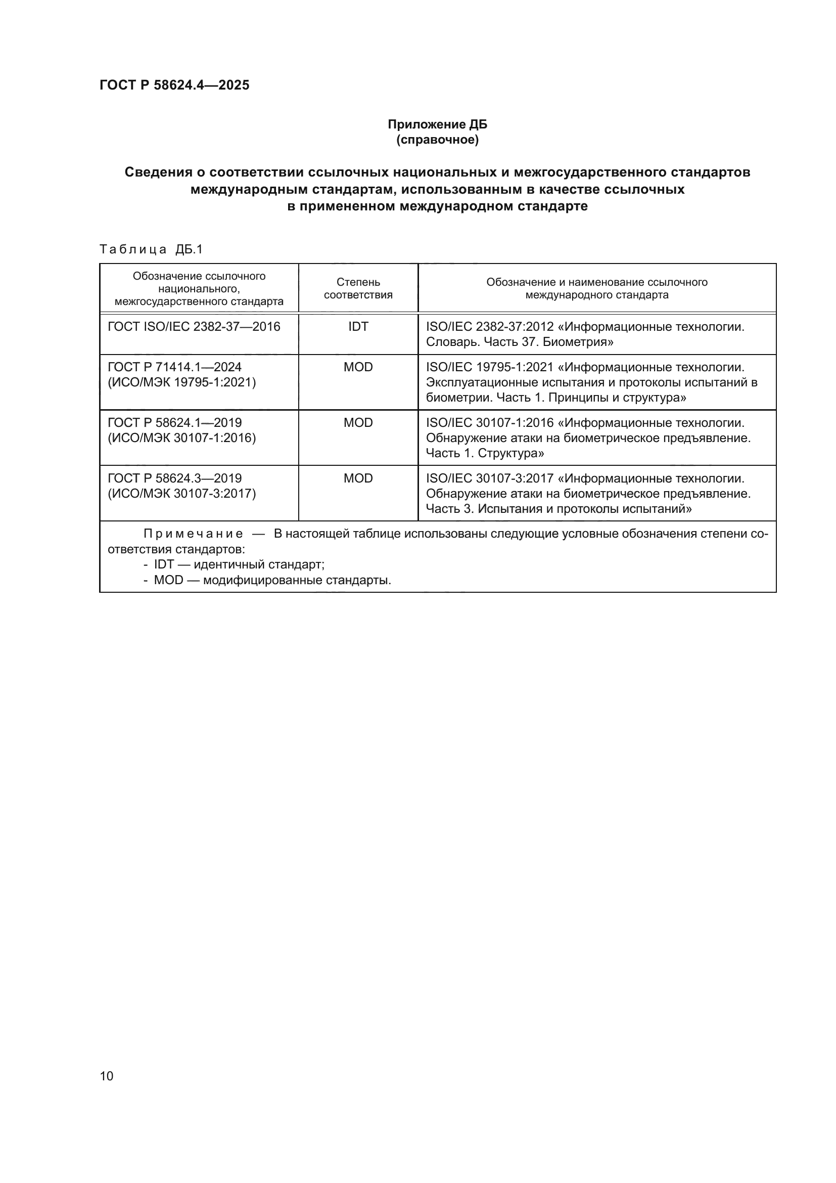
| Нормативные ссылки: | ГОСТ ISO/IEC 2382-37; ГОСТ Р 58624.1; ГОСТ Р 58624.3-2019; ГОСТ Р 71414.1 |
| Область применения: | Настоящий стандарт устанавливает профиль, который представляет собой набор требований к испытаниям методов ОАБП на мобильных устройствах с биометрическим распознаванием на устройстве. В настоящем стандарте учтены требования ГОСТ Р 58624.3, относящиеся к мобильным устройствам, а также установлены новые требования, отсутствующие в ГОСТ Р 58624.3. Для каждого требования профиль определяет подход к испытанию ОАБП для мобильных устройств |
|