| Обозначение: |  ГОСТ Р 71979-2025 |
| Статус: | принят |
| Название рус.: | Системы автоматического контроля выбросов и сбросов. Системы автоматического контроля выбросов. Предиктивные системы. Общие положения |
| Название англ.: | Automatic emission and discharge control systems. Automatic emission control systems. Predictive systems. General provisions |
| Дата актуализации текста: | 01.01.2026 |
| Дата актуализации описания: | 01.01.2026 |
| Дата издания: | 01.10.2025 |
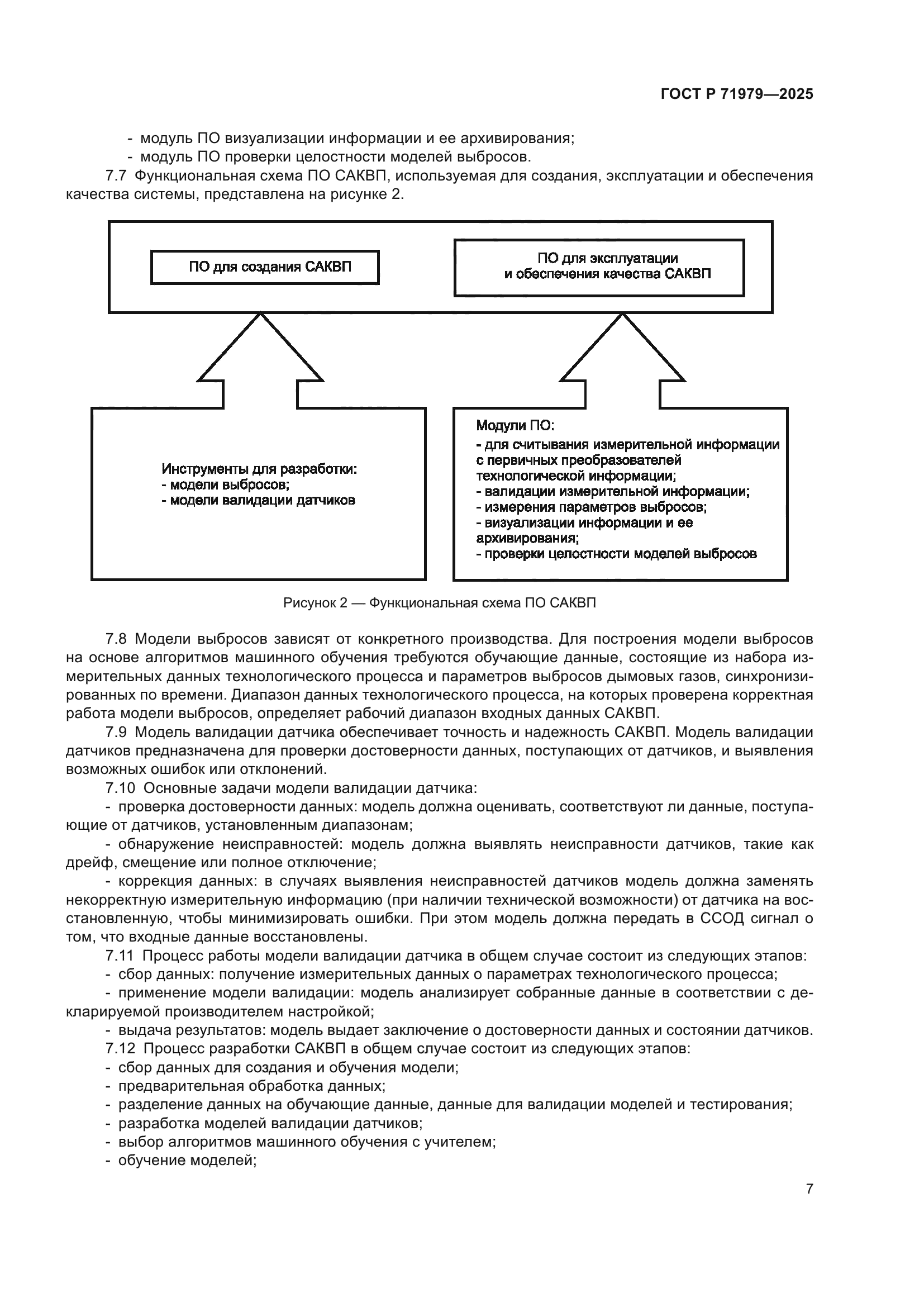
| Дата введения: | 01.03.2026 |
| Нормативные ссылки: | ГОСТ Р 71507; ГОСТ Р 71508-2024 |
| Область применения: | Настоящий стандарт распространяется на предиктивные системы автоматического контроля выбросов, используемые для измерений, учета и передачи информации о показателях выбросов загрязняющих веществ в государственный реестр объектов, оказывающих негативное воздействие на окружающую среду, и устанавливает общие положения о составе, функциях данных систем |
|