| Обозначение: |  ГОСТ Р 56131-2025 |
| Статус: | действующий |
| Название рус.: | Интегрированная логистическая поддержка экспортируемой продукции военного назначения. Информационное обеспечение эксплуатации |
| Название англ.: | Integrated logistic support for exported military products. Information assurance for operation and maintenance |
| Дата актуализации текста: | 01.01.2026 |
| Дата актуализации описания: | 01.01.2026 |
| Дата издания: | 24.09.2025 |
| Дата введения: | 01.01.2026 |
| Взамен: | ГОСТ Р 56131-2014 |
| Нормативные ссылки: | ГОСТ 2.116; ГОСТ 27.310; ГОСТ 18322; ГОСТ 25866; ГОСТ Р 27.102; ГОСТ Р 53392; ГОСТ Р 53394; ГОСТ Р 55929; ГОСТ Р 55930; ГОСТ Р 55932; ГОСТ Р 56113; ГОСТ Р 56129; ГОСТ Р 56136; ГОСТ Р 57105; ГОСТ Р 58049; ГОСТ Р 58297; ГОСТ Р 58303; ГОСТ Р 58677; ГОСТ Р 59186; ГОСТ Р 59191; ГОСТ Р 59193 |
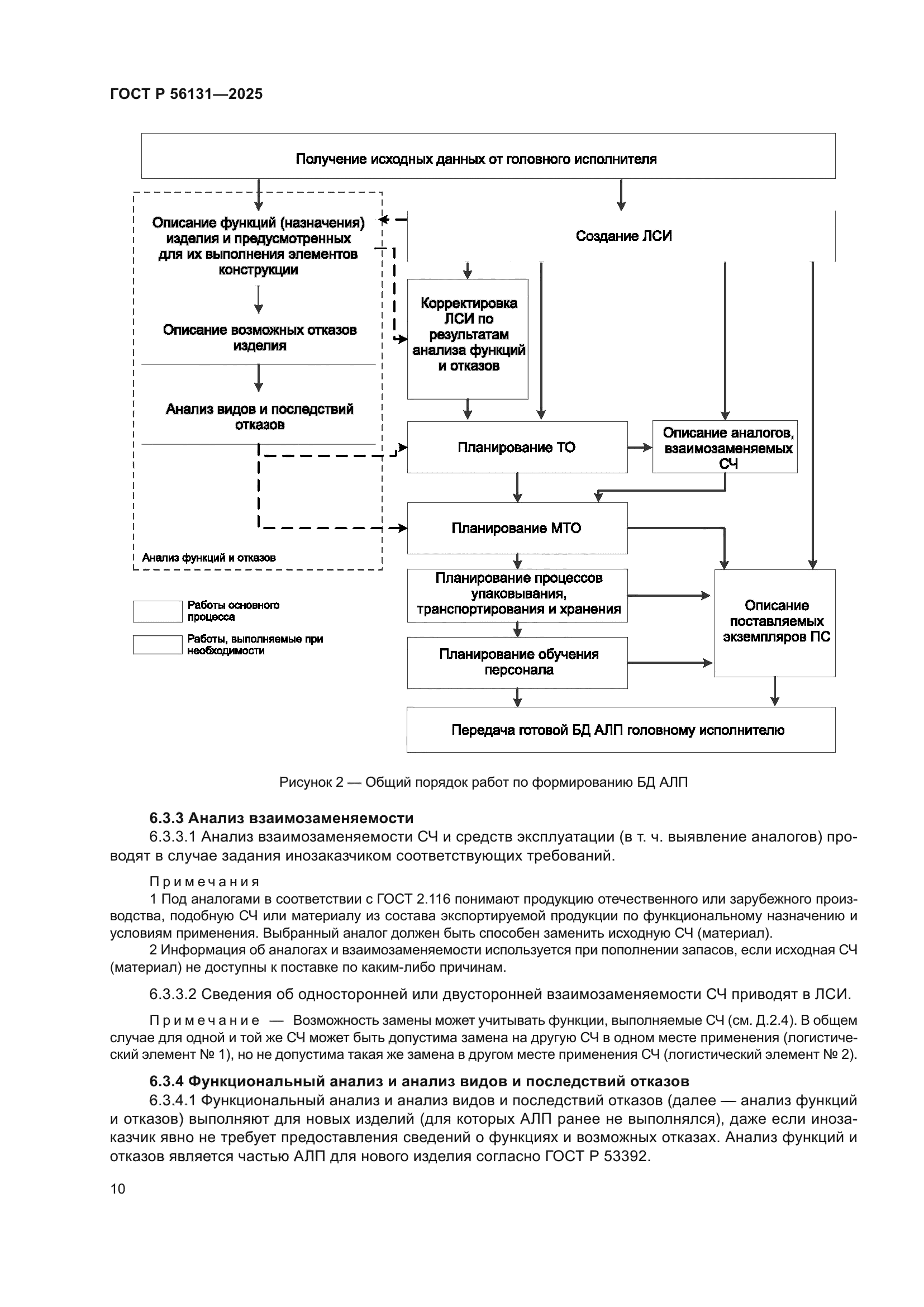
| Область применения: | Настоящий стандарт устанавливает порядок подготовки и содержание информационных продуктов интегрированной логистической поддержки для информационного обеспечения эксплуатации экспортируемой продукции военного назначения |
|