Скачать ГОСТ Р ИСО 13004-2025 Стерилизация медицинских изделий. Радиационная стерилизация. Обоснование стерилизующей дозы: метод VDmaxSDДата актуализации: 01.01.2026 ГОСТ Р ИСО 13004-2025
Стерилизация медицинских изделий. Радиационная стерилизация. Обоснование стерилизующей дозы: метод VDmaxSD
| Обозначение: |  ГОСТ Р ИСО 13004-2025 |
| Статус: | действующий |
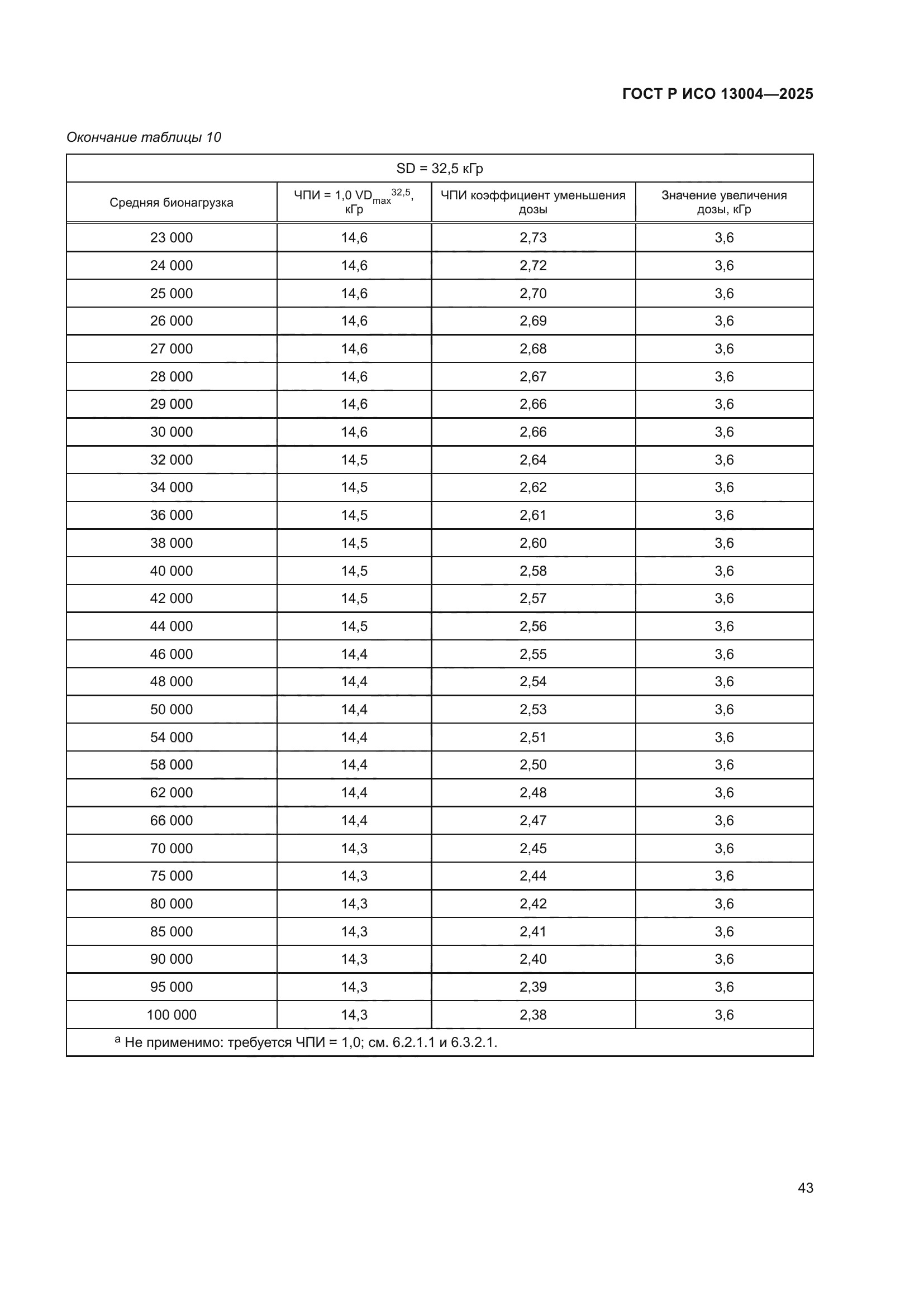
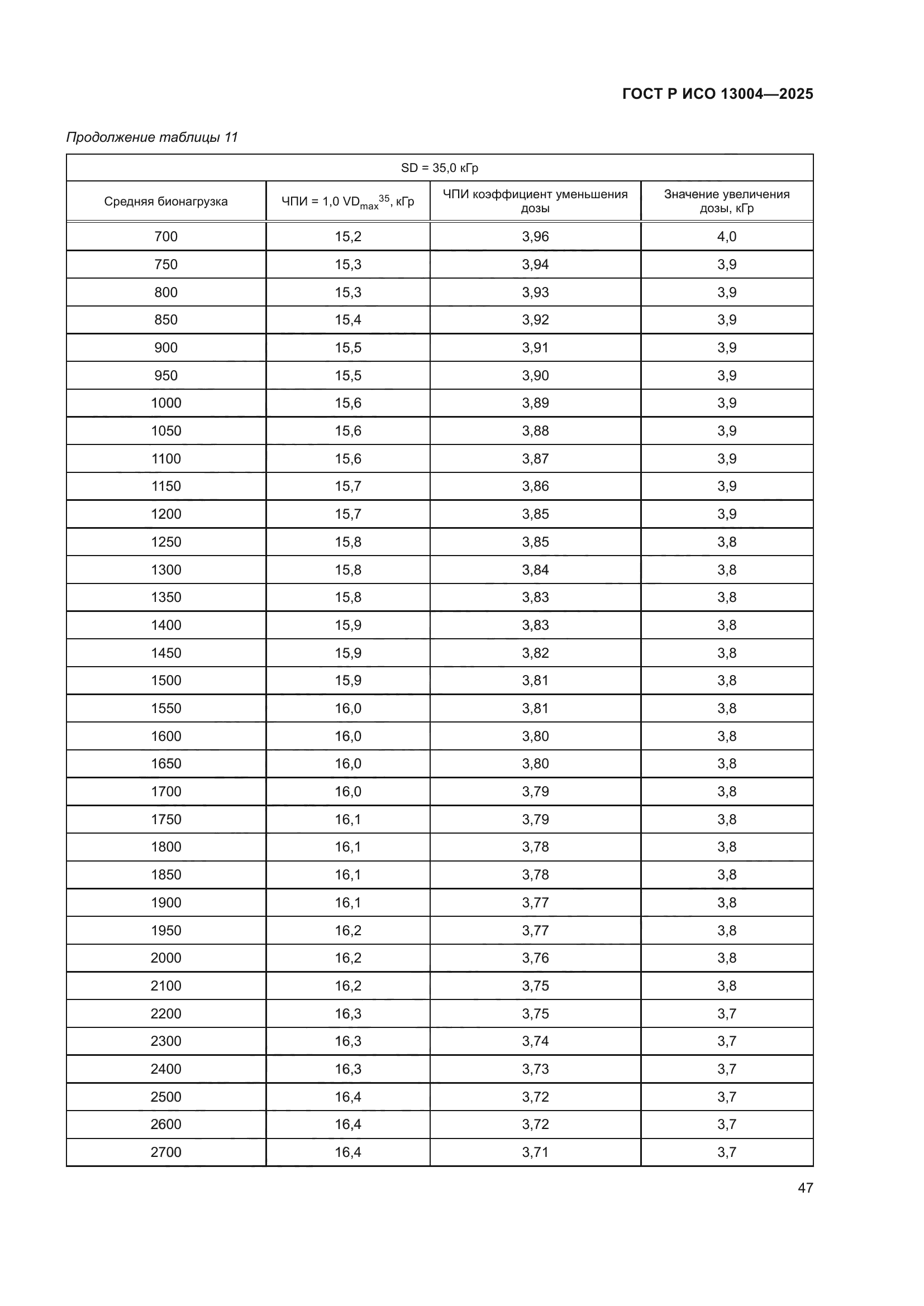
| Название рус.: | Стерилизация медицинских изделий. Радиационная стерилизация. Обоснование стерилизующей дозы: метод VDmaxSD | | Название англ.: | Sterilization of health care products. Radiation. Substantiation of selected sterilization dose: мethod VDmaxSD | | Дата актуализации текста: | 01.01.2026 | | Дата актуализации описания: | 01.01.2026 | | Дата издания: | 10.09.2025 | | Дата введения: | 01.01.2026 | | Аутентичен стандартам: | ISO 13004:2022 | | Нормативные ссылки: | ISO 11137-1:2006;ISO 11737-1:2018;ISO 11737-2 | | Область применения: | В настоящем стандарте описан метод обоснования выбранных стерилизующих доз 17,5; 20,0; 22,5; 27,5; 30,0; 32,5 или 35,0 кГр, которые позволяют достичь уровень обеспечения стерильности УОС = 10–6 или менее при радиационной стерилизации изделий медицинского назначения. В настоящем стандарте также указан метод проверки стерилизующей дозы, используемый для демонстрации постоянной эффективности обоснованной стерилизующей дозы | |
                                                            
|