| Обозначение: |  ГОСТ Р 72111.2-2025 |
| Статус: | действующий |
| Название рус.: | Реконфигурируемые интеллектуальные поверхности. Часть 2. Модели и оценка каналов радиосвязи |
| Название англ.: | Reconfigurable intelligent surfaces. Part 2. Models and evaluation of radio communication channels |
| Дата актуализации текста: | 01.01.2026 |
| Дата актуализации описания: | 01.01.2026 |
| Дата издания: | 26.08.2025 |
| Дата введения: | 01.01.2026 |
| Нормативные ссылки: | ГОСТ Р 52210; ГОСТ Р 53731; ГОСТ Р 53801; ГОСТ Р 72111.1 |
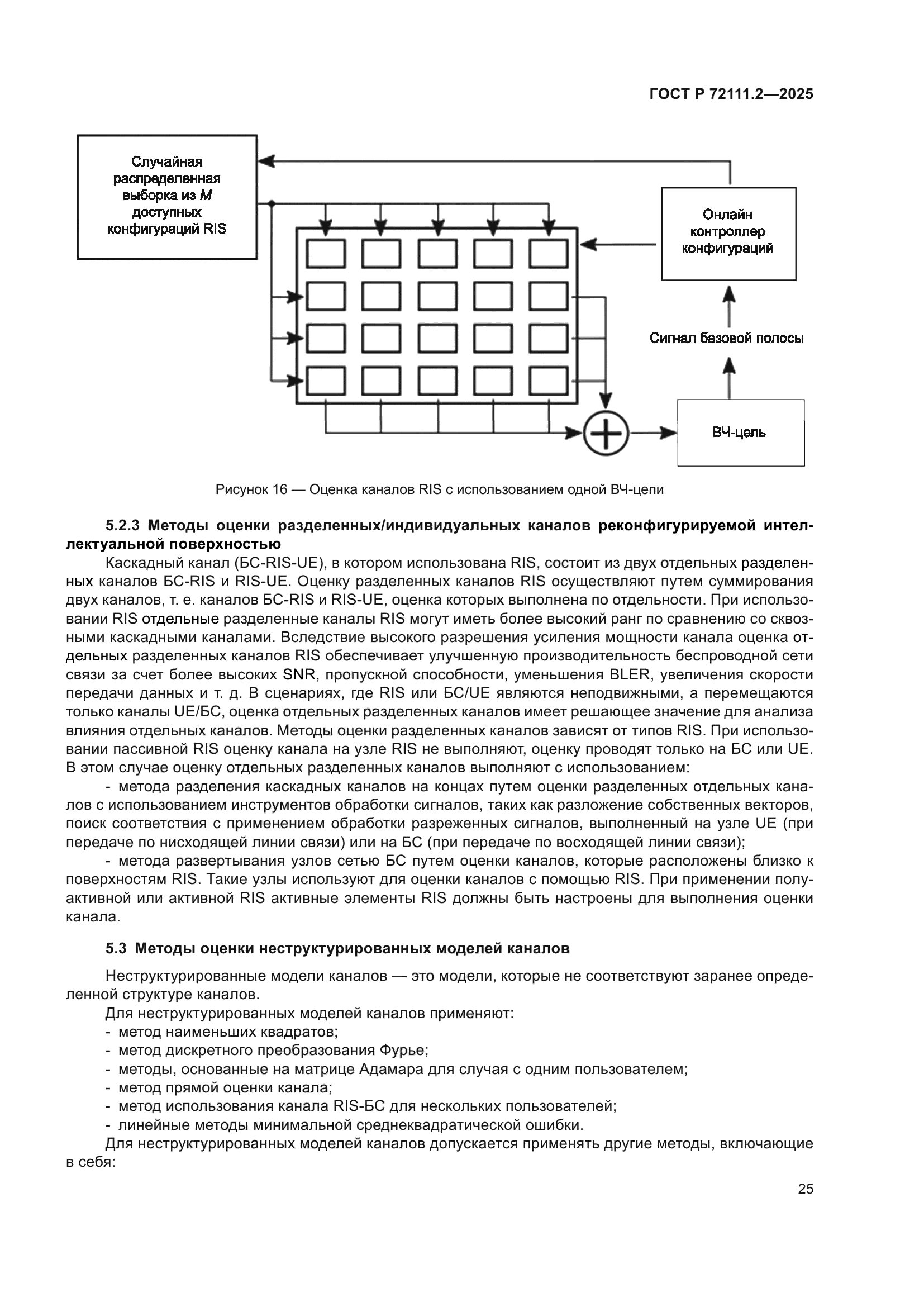
| Область применения: | Настоящий стандарт распространяется на реконфигурируемые интеллектуальные поверхности (RIS) и устанавливает модели и оценку каналов в беспроводных сетях радиосвязи с RIS. В настоящем стандарте установлены модели каналов, учитывающие эффекты потерь на распространение радиолучей, потери на многолучевое распространение, а также влияние интерференции в различных диапазонах частот, а также требования к оценке каналов, методы оценки каналов и приведены рекомендации по построению беспроводных радиосетей на основе оценки каналов |
|