| Обозначение: |  ГОСТ Р 72237-2025 |
| Статус: | принят |
| Название рус.: | Автотранспортные средства. Телематические системы с функцией дистанционного контроля и регулирования скорости. Технические требования и методы испытаний |
| Название англ.: | Motor vehicles. Telematics system with a function for remote speed monitoring and control. Technical requirements and test methods |
| Дата актуализации текста: | 01.01.2026 |
| Дата актуализации описания: | 01.01.2026 |
| Дата издания: | 22.08.2025 |
| Дата введения: | 01.05.2026 |
| Нормативные ссылки: | ГОСТ 12.2.007.0; ГОСТ 12.3.019; ГОСТ 14254; ГОСТ 16019-2001; ГОСТ 23544; ГОСТ 33472; ГОСТ 33991; ГОСТ Р ИСО 26262-4; ГОСТ Р ИСО 26262-5; ГОСТ Р ИСО 26262-6 |
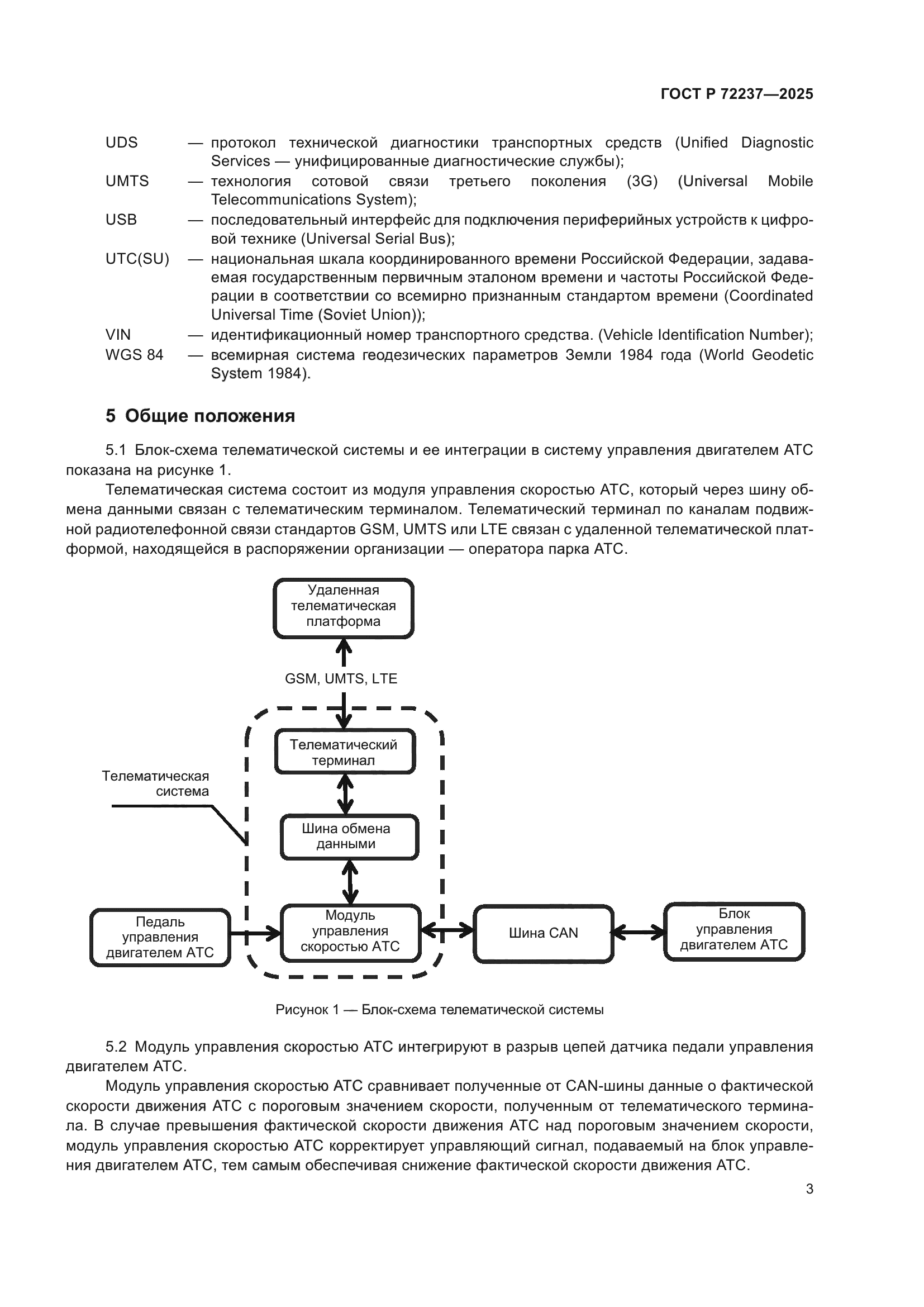
| Область применения: | Настоящий стандарт распространяется на телематические системы с функцией дистанционного контроля и регулирования скорости (далее - телематические системы), устанавливаемые преимущественно на автотранспортные средства (далее - АТС) категорий М1 и N1 в соответствии с [2]. Телематические системы могут быть адаптированы для установки на АТС категорий Мг, Мз, N2 и N3 в соответствии с [2]. Настоящий стандарт устанавливает технические требования к телематическим системам и методы их испытаний |
|