| Обозначение: |  ГОСТ 26220-2025 |
| Статус: | принят |
| Название рус.: | Баллоны аэрозольные алюминиевые моноблочные. Технические условия |
| Название англ.: | Aerosol aluminium monoblock balloons. Specifications |
| Дата актуализации текста: | 01.01.2026 |
| Дата актуализации описания: | 01.01.2026 |
| Дата регистрации: | 30.06.2025 |
| Дата издания: | 15.08.2025 |
| Дата введения: | 01.09.2026 |
| Взамен: | ГОСТ 26220-84 |
| Нормативные ссылки: | ГОСТ 9.402; ГОСТ 12.0.001; ГОСТ 12.1.004; ГОСТ 12.1.010; ГОСТ 12.4.021; ГОСТ 15.009; ГОСТ 17.2.3.01; ГОСТ 17.2.3.02; ГОСТ 166; ГОСТ 577; ГОСТ 876; ГОСТ 2768; ГОСТ 4784; ГОСТ 7210; ГОСТ 7376; ГОСТ 7420; ГОСТ 8273; ГОСТ 10197; ГОСТ 10354; ГОСТ 10459; ГОСТ 10905; ГОСТ 11069; ГОСТ 12026; ГОСТ 13511; ГОСТ 13841; ГОСТ 14192; ГОСТ 15467; ГОСТ 17527; ГОСТ 18251; ГОСТ 20477; ГОСТ 21241; ГОСТ 24690; ГОСТ 24691; ГОСТ 25336;ГОСТ ISO 2859-1-2009 |
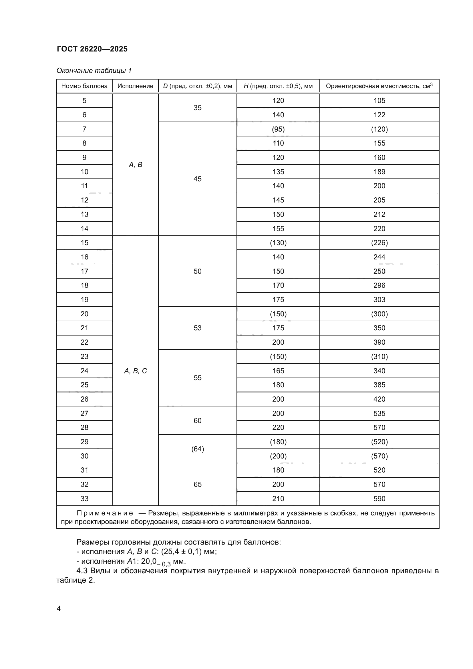
| Область применения: | Настоящий стандарт распространяется на аэрозольные алюминиевые моноблочные баллоны (далее – баллоны) с диаметром отверстия горловины 20,0 и 25,4 мм, предназначенные для одноразового заполнения под давлением химической продукцией |
|