| Обозначение: |  ГОСТ IEC 61228-2025 |
| Статус: | принят |
| Название рус.: | Лампы люминесцентные ультрафиолетовые, применяемые в приборах для загара. Метод определения энергетической освещенности и требования к маркировке |
| Название англ.: | Ultraviolet fluorescent lamps used in tanning devices. Method for determination of irradiance and labeling requirements |
| Дата актуализации текста: | 01.01.2026 |
| Дата актуализации описания: | 01.01.2026 |
| Дата регистрации: | 31.07.2025 |
| Дата издания: | 14.08.2025 |
| Дата введения: | 01.10.2026 |
| Взамен: | ГОСТ IEC 61228-2019 |
| Аутентичен стандартам: | IEC 61228(2020) |
| Нормативные ссылки: | ISO/CIE 28077:2024;IEC 60061-1;IEC 60081;IEC 60155;IEC 60335-2-27;IEC 60921;IEC 60929;IEC 61049;CIE 63:1984 |
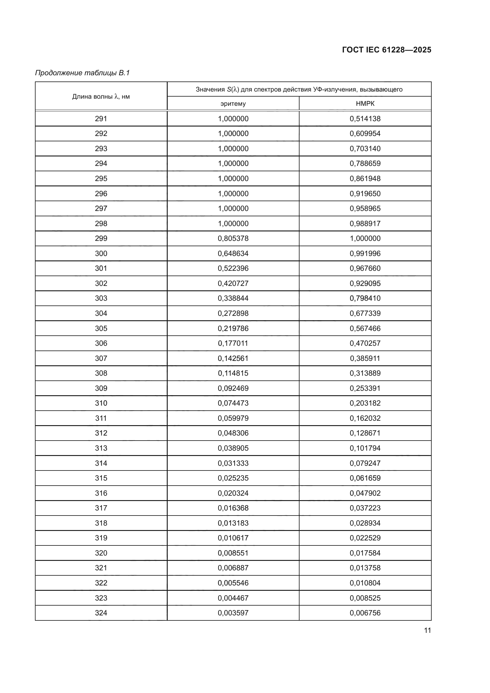
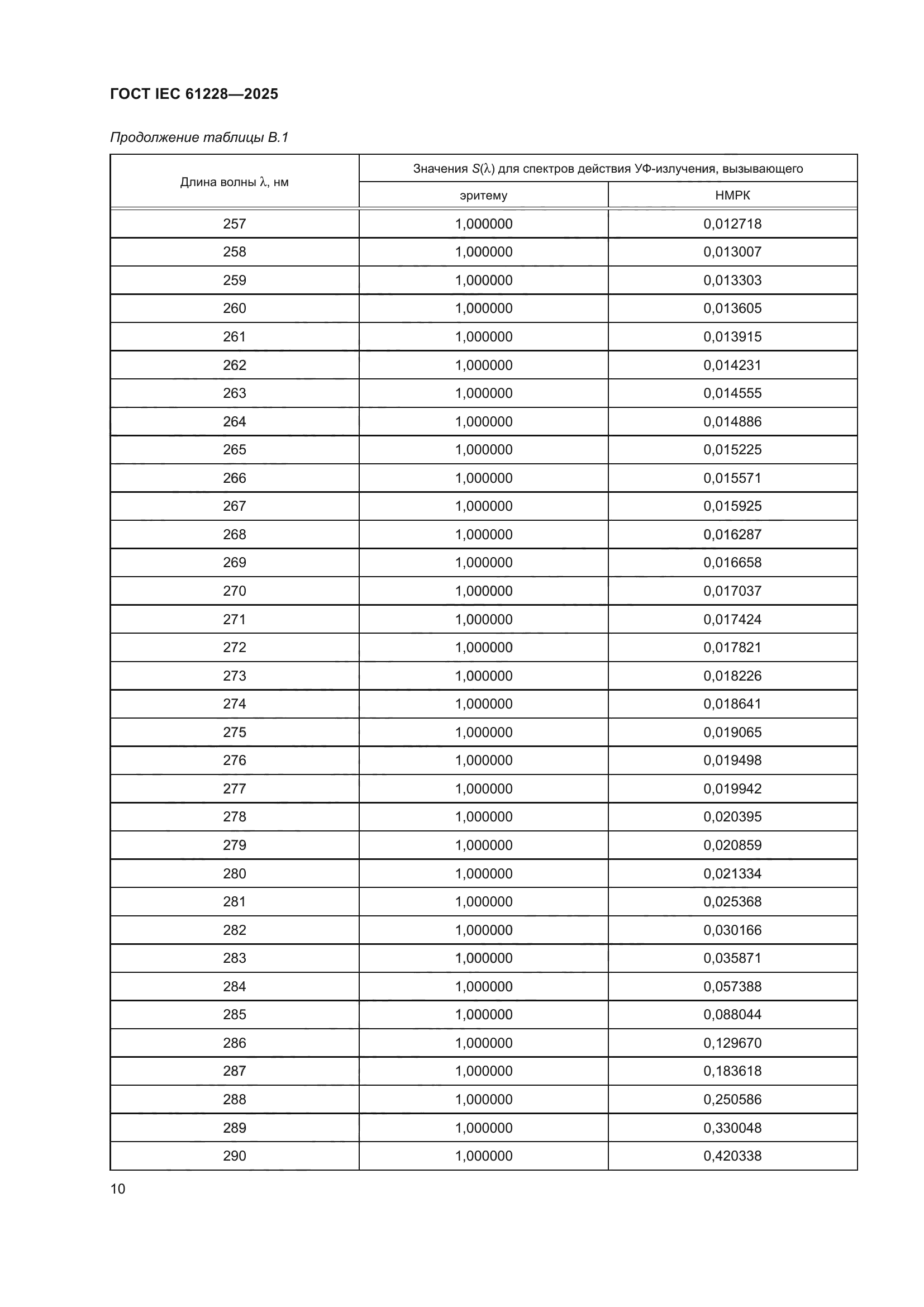
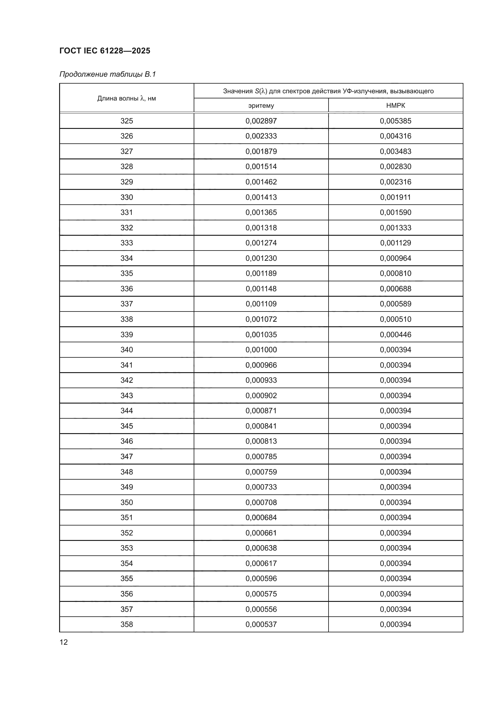
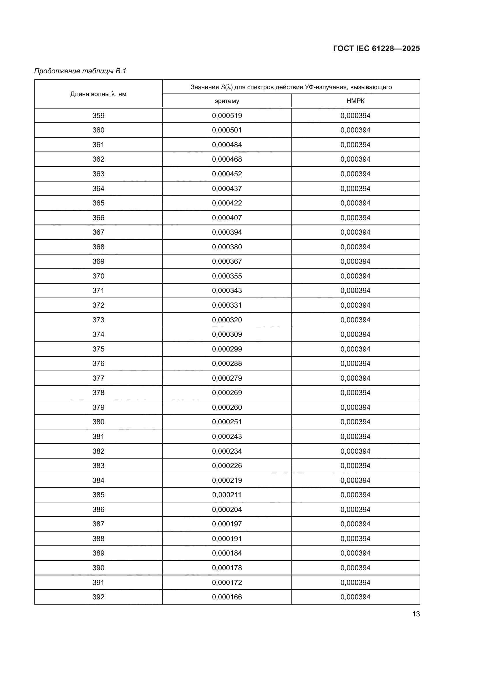
| Область применения: | Настоящий стандарт распространяется на ультрафиолетовые люминесцентные лампы (далее – лампы), применяемые в приборах для загара, и устанавливает метод определения энергетической освещенности, требования к документации изготовителя и маркировке ламп. Требования настоящего стандарта относятся только к испытаниям типа |
|