| Обозначение: |  ГОСТ 26434-2025 |
| Статус: | действующий |
| Название рус.: | Плиты перекрытий железобетонные для жилых зданий. Типы и основные параметры |
| Название англ.: | Reinforced concrete panels for floors in residential buildings. Types and basic parameters |
| Дата актуализации текста: | 01.01.2026 |
| Дата актуализации описания: | 01.01.2026 |
| Дата регистрации: | 24.06.2025 |
| Дата издания: | 12.08.2025 |
| Дата введения: | 01.01.2026 |
| Взамен: | ГОСТ 26434-2015 |
| Нормативные ссылки: | ГОСТ 9561; ГОСТ 13015; ГОСТ 21779; ГОСТ 23009; ГОСТ 26433.0 |
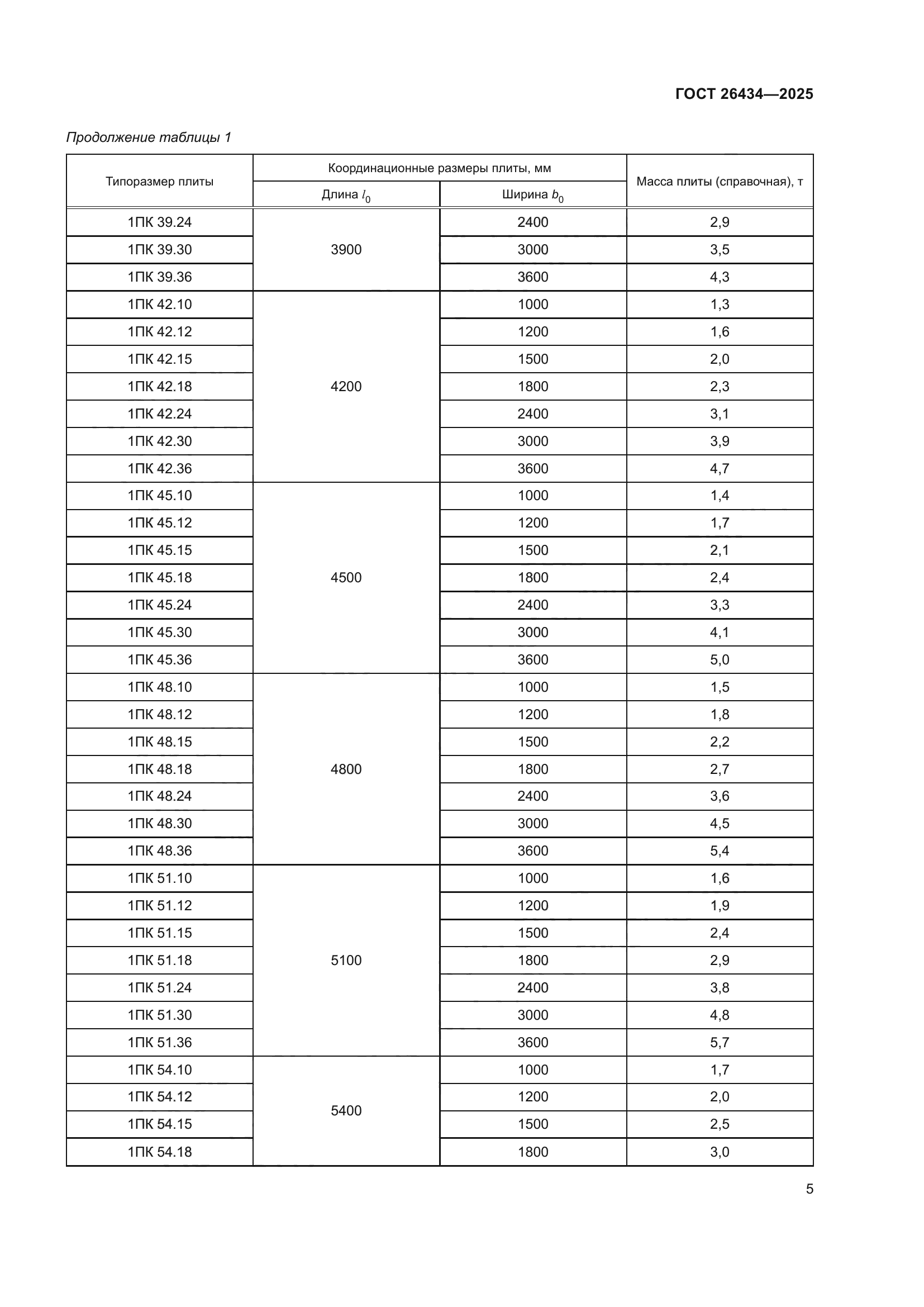
| Область применения: | Настоящий стандарт устанавливает типы, основные размеры и параметры плит перекрытий, общие технические требования к ним. Настоящий стандарт распространяется на сборные железобетонные плиты перекрытий, изготовляемые из конструкционного тяжелого и легкого бетонов (далее — плиты) и предназначенные для несущей части перекрытий жилых зданий |
|