| Обозначение: |  ГОСТ Р 9.611-2025 |
| Статус: | принят |
| Название рус.: | Единая система защиты от коррозии и старения. Электрохимическая защита. Протекторы магниевые для защиты металлических сооружений. Общие технические условия |
| Название англ.: | Unified system of corrosion and ageing protection. Electrochemical protection. Magnesium protectors for the protection metal structures. General specification |
| Дата актуализации текста: | 01.01.2026 |
| Дата актуализации описания: | 01.01.2026 |
| Дата издания: | 31.07.2025 |
| Дата введения: | 01.03.2026 |
| Нормативные ссылки: | ГОСТ 9.108; ГОСТ 9.306 ; ГОСТ 9.602-2016; ГОСТ 12.1.004; ГОСТ 12.1.007; ГОСТ 12.1.044; ГОСТ 12.3.009; ГОСТ 12.3.027; ГОСТ 15.309; ГОСТ 103; ГОСТ 125; ГОСТ 166; ГОСТ 380; ГОСТ 804; ГОСТ 851.10; ГОСТ 2333; ГОСТ 2590; ГОСТ 3647; ГОСТ 3776; ГОСТ 4523; ГОСТ 6318; ГОСТ 7502; ГОСТ 7728; ГОСТ 8734; ГОСТ 10354; ГОСТ 13837; ГОСТ 14192; ГОСТ 15150; ГОСТ 17792; ГОСТ 23216; ГОСТ 24297; ГОСТ 25726; ГОСТ 26251; ГОСТ 28177; ГОСТ 30630.0.0; ГОСТ 30630.1.2; ГОСТ 30630.2.1; ГОСТ 30631; ГОСТ 31996; ГОСТ Р 15.301-2016; ГОСТ Р 51371; ГОСТ Р 53228; ГОСТ Р 58144; ГОСТ Р 58284-2018;СП 245.1325800;СП 424.1325800 |
| Область применения: | Настоящий стандарт распространяется на протекторы из магниевых сплавов, применяемые в системах электрохимической защиты от коррозии подземных металлических сооружений и вспомогательного оборудования, а также внутренних поверхностей металлических емкостей (резервуаров). Настоящий стандарт не распространяется на протекторы, применяемые для катодной защиты судов и других плавучих средств, морских, подводных, причальных и портовых гидротехнических сооружений. Настоящий стандарт устанавливает общие технические характеристики к протекторам, а также методы и средства, необходимые для проведения испытаний с целью подтверждения соответствия их технических и эксплуатационных характеристи |
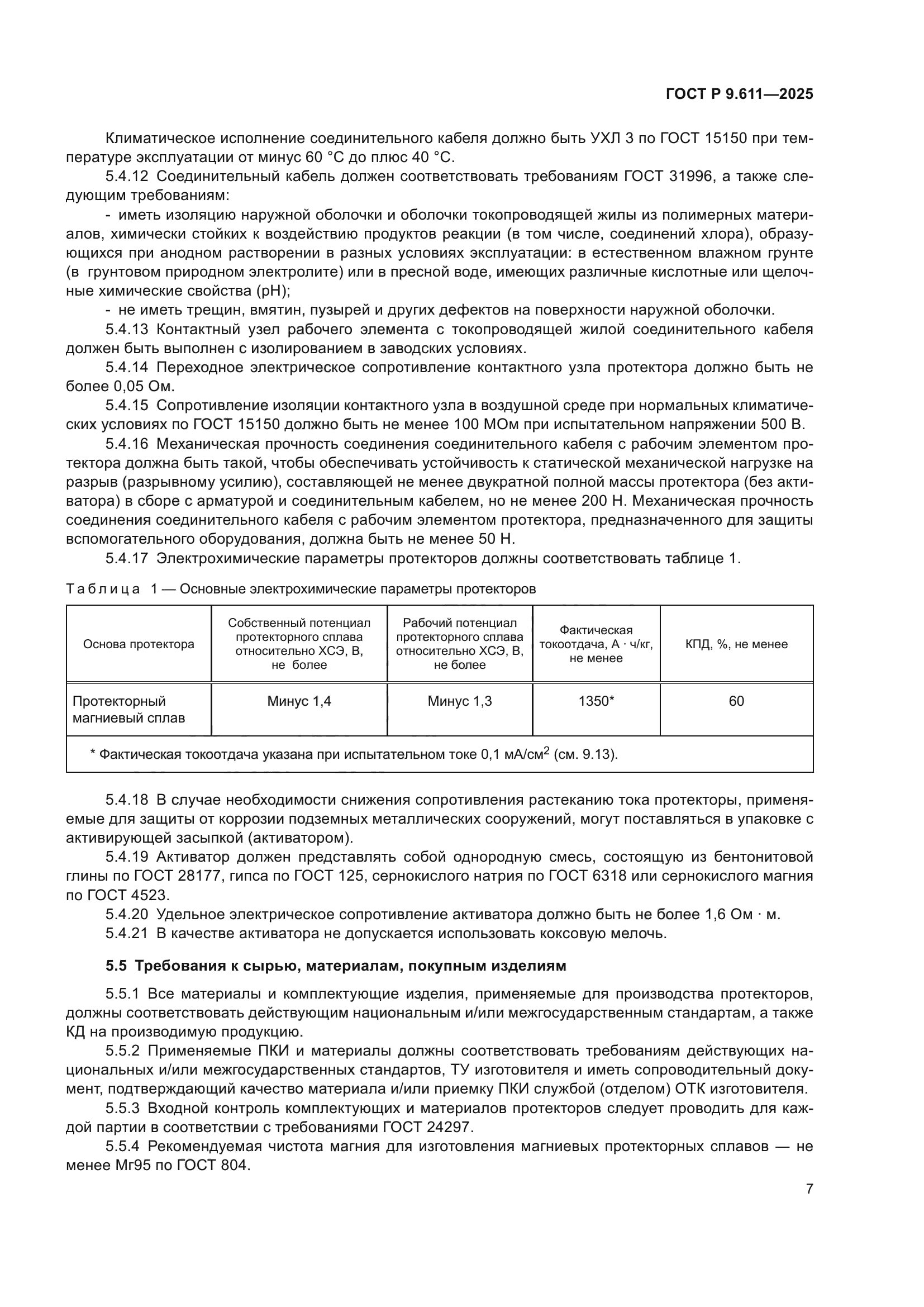
|