| Обозначение: |  ГОСТ Р 71951-2025 |
| Статус: | действующий |
| Название рус.: | Оптика и фотоника. Стекло оптическое бесцветное. Общие технические условия |
| Название англ.: | Optics and photonics. Colourless optical glass. General specifications |
| Дата актуализации текста: | 01.01.2026 |
| Дата актуализации описания: | 01.01.2026 |
| Дата издания: | 28.07.2025 |
| Дата введения: | 01.01.2026 |
| Нормативные ссылки: | ГОСТ 3519; ГОСТ 3520; ГОСТ 3522; ГОСТ 13240; ГОСТ 28869; ГОСТ Р 71606; ГОСТ Р 71950; ГОСТ Р 71952; ГОСТ Р 72015 |
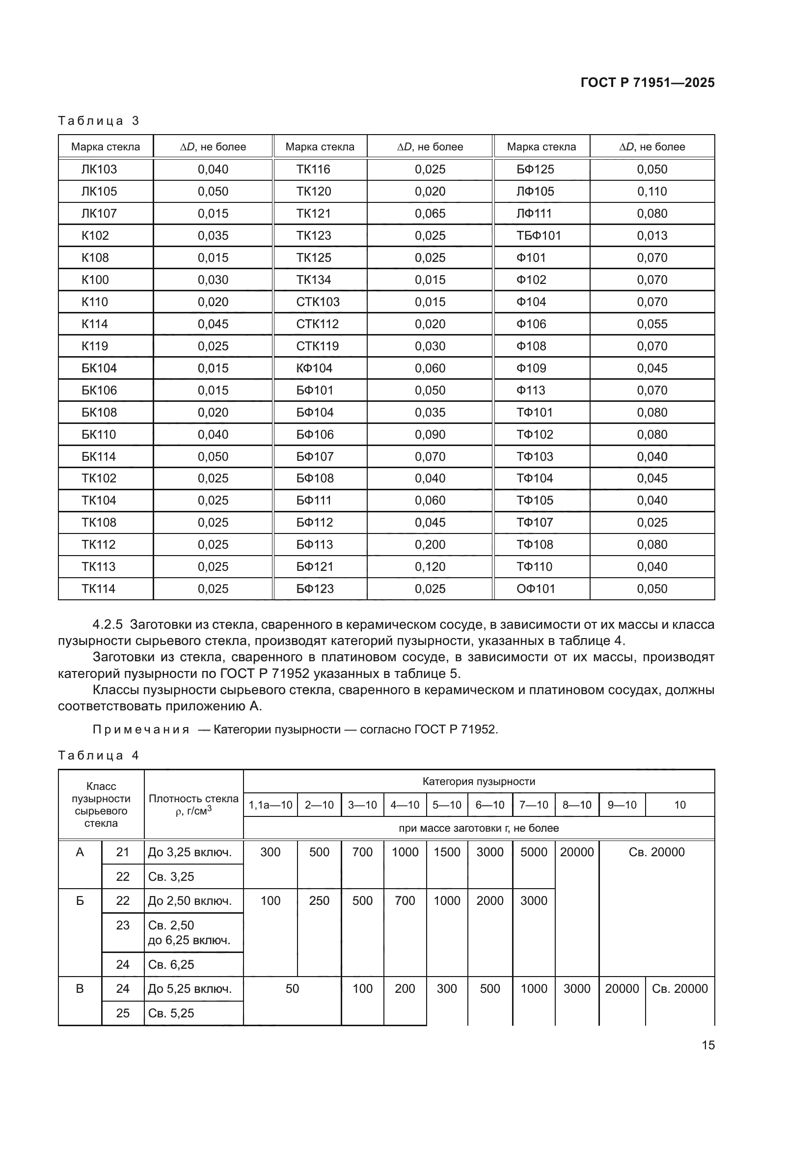
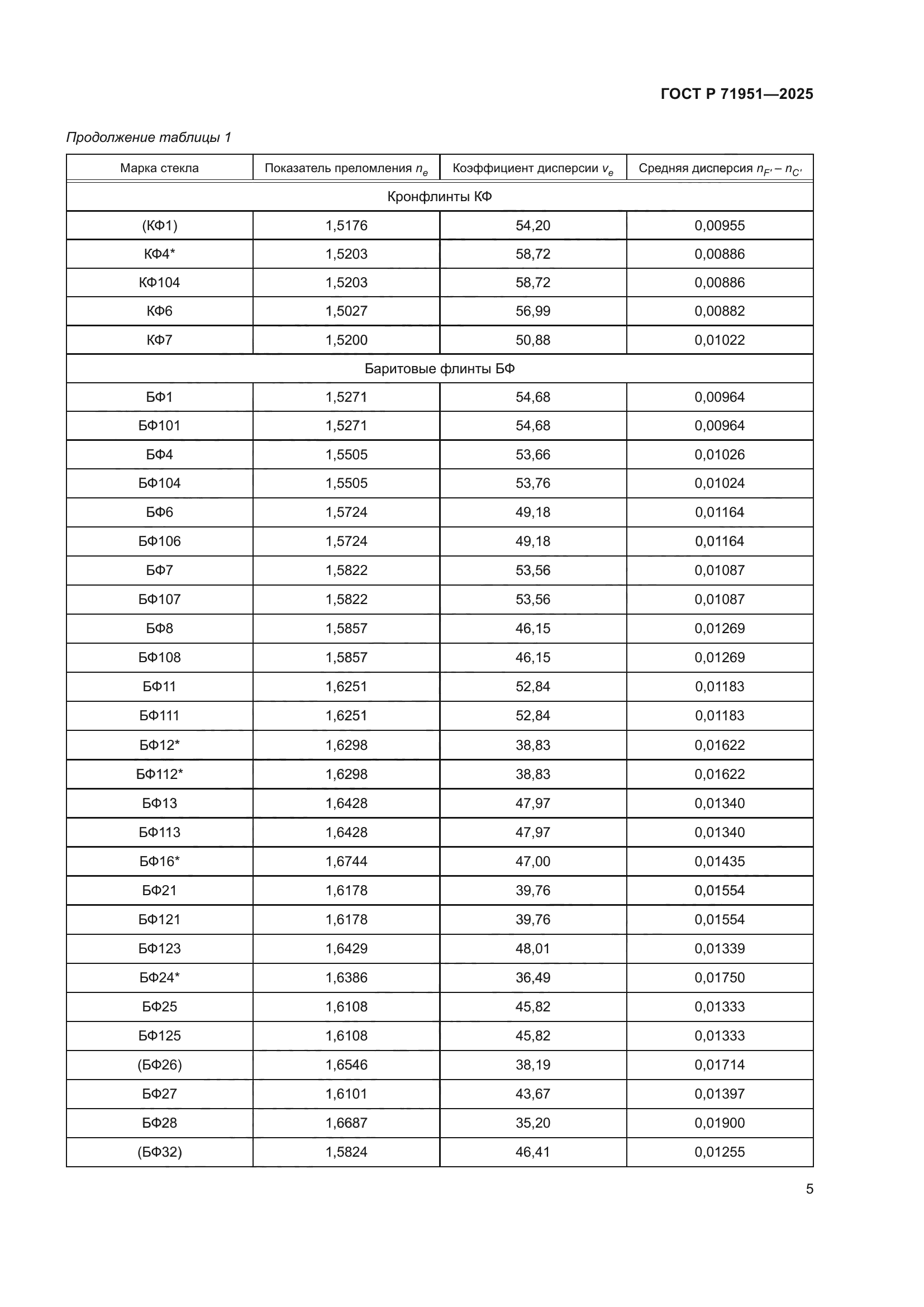
| Область применения: | Настоящий стандарт распространяется на неорганическое оптическое бесцветное стекло в форме блоков произвольного или установленного размера и на заготовки из стекла. Настоящий стандарт распространяется на указанные в стандарте марки стекла серии 0 и серии 100. Настоящий стандарт не распространяется на неуказанные в стандарте типы и марки стекол серий 0 и 100, и стекла серий 200, 500 и H. Настоящий стандарт устанавливает основные типы, марки, параметры и основные технические требования, предъявляемые к стеклу |
|