| Обозначение: |  ГОСТ 35245-2025 |
| Статус: | действующий |
| Название рус.: | Зерно кукурузы. Технические условия |
| Название англ.: | Corn. Specifications |
| Дата актуализации текста: | 01.01.2026 |
| Дата актуализации описания: | 01.01.2026 |
| Дата регистрации: | 28.02.2025 |
| Дата издания: | 18.07.2025 |
| Дата введения: | 01.01.2026 |
| Нормативные ссылки: | ГОСТ 12.1.004; ГОСТ 12.1.005; ГОСТ 12.2.003; ГОСТ 12.4.009; ГОСТ 12.4.021; ГОСТ 10940; ГОСТ 10967; ГОСТ 11225; ГОСТ 12038; ГОСТ 13496.20; ГОСТ 13586.3; ГОСТ 13586.4; ГОСТ 13586.5; ГОСТ 13586.6; ГОСТ 26927; ГОСТ 26929; ГОСТ 26930; ГОСТ 26932; ГОСТ 26933; ГОСТ 27186; ГОСТ 28001; ГОСТ 30178; ГОСТ 30483; ГОСТ 30538; ГОСТ 30711; ГОСТ 31481; ГОСТ 31628; ГОСТ 31650; ГОСТ 31653; ГОСТ 31671; ГОСТ 31691; ГОСТ 31707; ГОСТ 31748; ГОСТ 32161; ГОСТ 32163; ГОСТ 32164; ГОСТ 32587; ГОСТ 33303; ГОСТ 33780; ГОСТ 34050; ГОСТ 34108; ГОСТ 34140; ГОСТ 34165; ГОСТ 34427; ГОСТ 34618;ГОСТ EN 13585;ГОСТ EN 13804;ГОСТ EN 14083;ГОСТ EN 15891; ГОСТ ИСО 21569; ГОСТ ИСО 21570;ГОСТ ISO 21571;ГОСТ ISO 24333; ГОСТ Р 53244-2008; ГОСТ Р ИСО 21571-2014 |
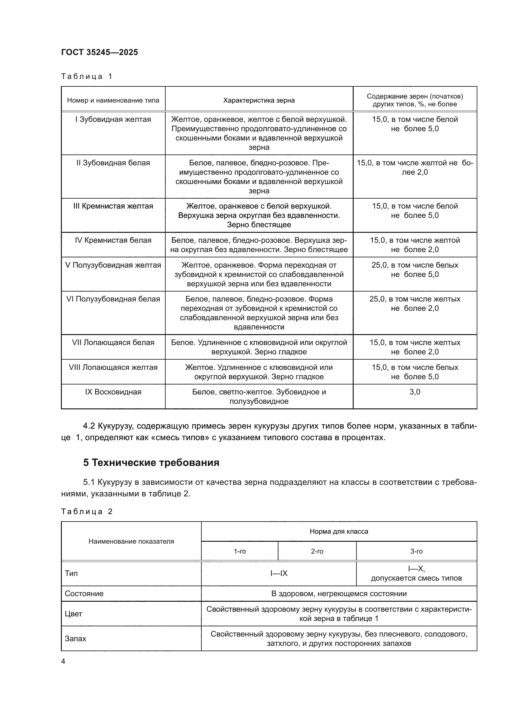
| Область применения: | Настоящий стандарт распространяется на кукурузу в зерне и початках (Zйa mбys), предназначенную для продовольственных и непродовольственных целей |
|