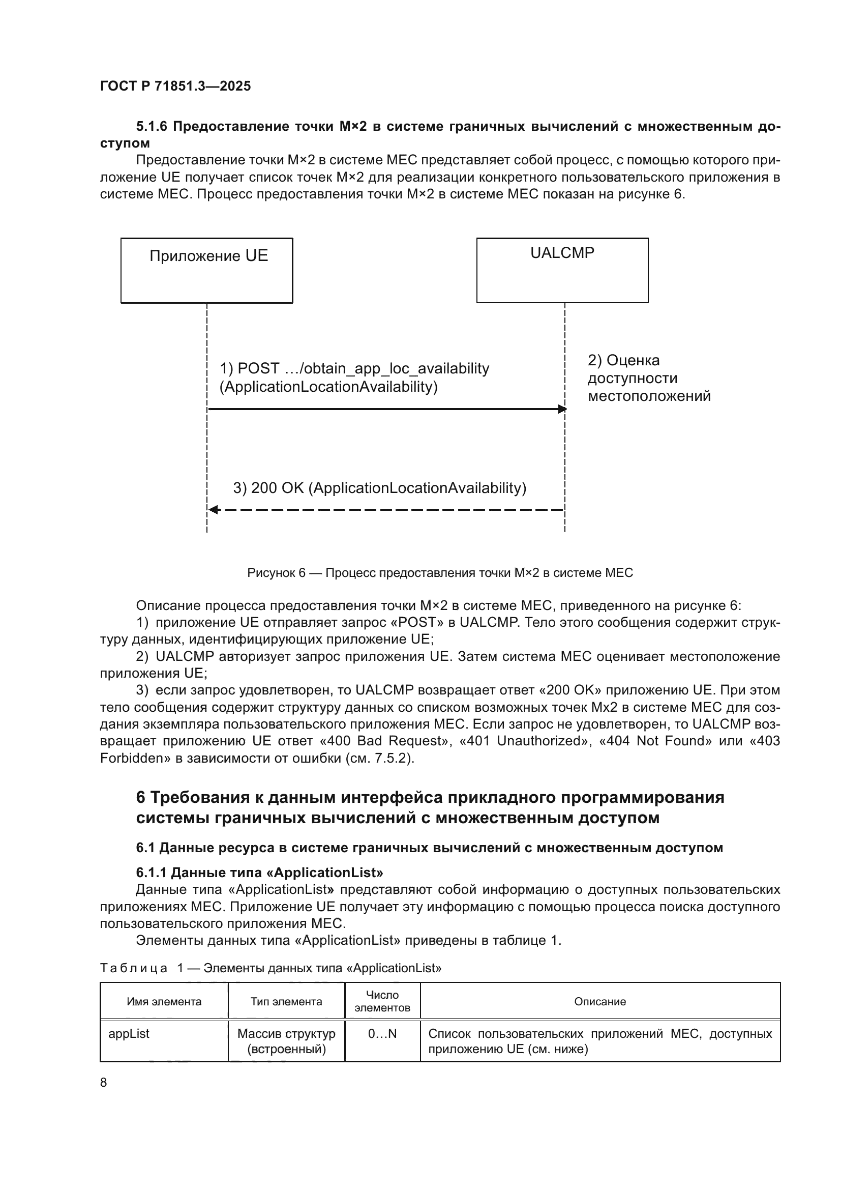
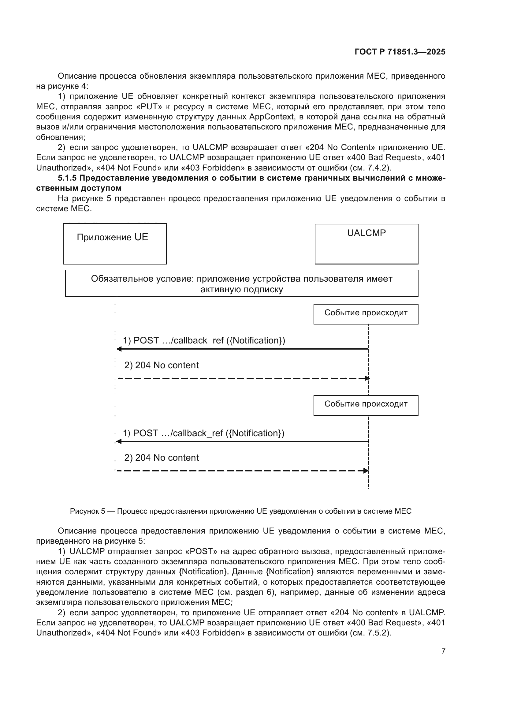
| Обозначение: |  ГОСТ Р 71851.3-2025 |
| Статус: | действующий |
| Название рус.: | Граничные вычисления с множественным доступом. Часть 3. Интерфейс прикладного программирования. Общие требования |
| Название англ.: | Multi-access edge computing. Part 3. Аpplication programming interface. General requirements |
| Дата актуализации текста: | 01.01.2026 |
| Дата актуализации описания: | 01.01.2026 |
| Дата издания: | 15.07.2025 |
| Дата введения: | 01.01.2026 |
| Нормативные ссылки: | ГОСТ 7.67; ГОСТ 33707; ГОСТ Р 71851.1; ГОСТ Р 71851.2-2025 |
| Область применения: | Настоящий стандарт устанавливает общие требования к интерфейсу прикладного программирования (API) системы граничных вычислений с множественным доступом (MEC) по ГОСТ Р 71851.2, предназначенному для управления жизненным циклом пользовательских приложений МЕС. В настоящем стандарте установлены требования к данным и ресурсам, используемым в процессе жизненного цикла пользовательского приложения МЕС для обмена информацией между системой MEC и приложением пользовательского оборудования (UE); определены информационные элементы и атрибуты API МЕС. Стандарт не распространяется на мобильные приложения МЕС. Настоящий стандарт следует применять при разработке пользовательских приложений MEC |
|