| Обозначение: |  ГОСТ 17151-2025 |
| Статус: | принят |
| Название рус.: | Посуда хозяйственная из листового алюминия. Общие технические условия |
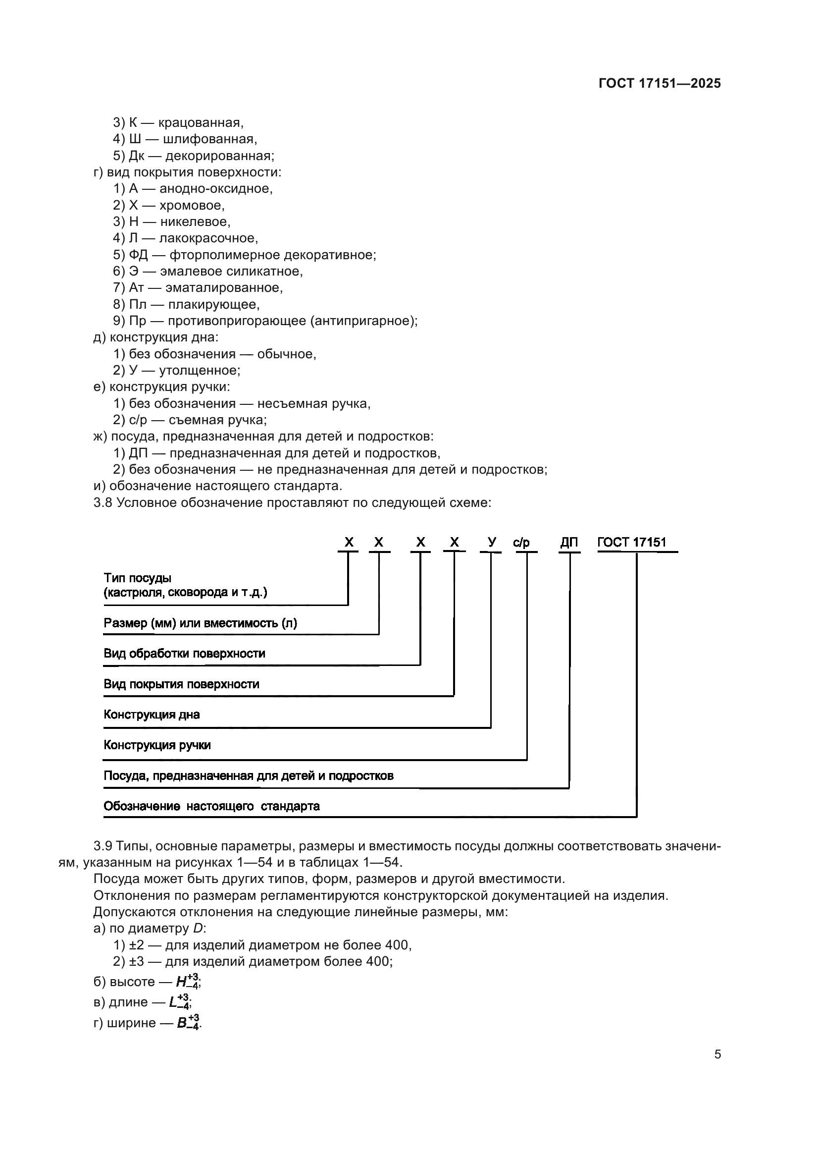
| Название англ.: | Cooking utensils of sheet aluminium. General specifications |
| Дата актуализации текста: | 01.01.2026 |
| Дата актуализации описания: | 01.01.2026 |
| Дата регистрации: | 30.05.2025 |
| Дата издания: | 15.07.2025 |
| Дата введения: | 01.06.2026 |
| Взамен: | ГОСТ 17151-2019 |
| Нормативные ссылки: | ГОСТ 9.031; ГОСТ 9.301; ГОСТ 9.302; ГОСТ 166; ГОСТ 427; ГОСТ 860; ГОСТ 1129; ГОСТ 1770; ГОСТ 2405; ГОСТ 2695; ГОСТ 2789; ГОСТ 2991; ГОСТ 3118; ГОСТ 3343; ГОСТ 3652; ГОСТ 4165; ГОСТ 4233; ГОСТ 4765; ГОСТ 4784; ГОСТ 4976; ГОСТ 5233; ГОСТ 5470; ГОСТ 5556; ГОСТ 5632; ГОСТ 5959; ГОСТ 6709; ГОСТ Р 58144-2018; ГОСТ 7933; ГОСТ 8273; ГОСТ 9142; ГОСТ 9347; ГОСТ 9359; ГОСТ 9396; ГОСТ 9421; ГОСТ 10299; ГОСТ 10300; ГОСТ 10301; ГОСТ 10302; ГОСТ 10905; ГОСТ 11069; ГОСТ 12082; ГОСТ 13726; ГОСТ 14192; ГОСТ 14806; ГОСТ 14919; ГОСТ 15140; ГОСТ 15150; ГОСТ 17435; ГОСТ 19300; ГОСТ 21241; ГОСТ 21631; ГОСТ 21650; ГОСТ 23683; ГОСТ 24788; ГОСТ 25336; ГОСТ 25951; ГОСТ 26381; ГОСТ 26574; ГОСТ 26663; ГОСТ 28804; ГОСТ 29298; ГОСТ 31149; ГОСТ 31450; ГОСТ 31654; ГОСТ 33222; ГОСТ 33757; ГОСТ 33781; ГОСТ 35094 |
| Область применения: | Настоящий стандарт распространяется на цельноштампованную и сборную хозяйственную посуду из листового алюминия. Стандарт не распространяется на посуду со встроенными электрическими нагревателями. Посуду, предназначенную для детей и подростков, изготавливают с учетом повышенных требований к выделению вредных веществ |
|