| Обозначение: |  ГОСТ Р 70262.2-2025 |
| Статус: | действующий |
| Название рус.: | Защита информации. Идентификация и аутентификация. Уровни доверия аутентификации |
| Название англ.: | Information protection .Identification and authentication. Authentication assurance levels |
| Дата актуализации текста: | 01.01.2026 |
| Дата актуализации описания: | 01.01.2026 |
| Дата издания: | 05.06.2025 |
| Дата введения: | 01.10.2025 |
| Нормативные ссылки: | ГОСТ Р 50922; ГОСТ Р 58833-2020; ГОСТ Р 59383; ГОСТ Р 70262.1; ГОСТ Р 70916; ГОСТ Р ИСО/МЭК 27005 |
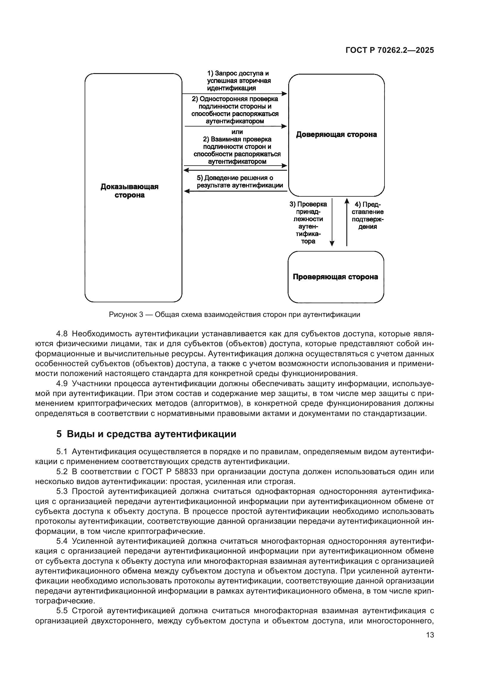
| Область применения: | Настоящий стандарт устанавливает единообразную организацию процесса аутентификации субъектов и объектов доступа в средствах защиты информации, в том числе реализующих криптографическую защиту, средствах вычислительной техники и автоматизированных (информационных) системах, а также определяет общие правила аутентификации, которые обеспечивают необходимую уверенность в ее результатах. Положения настоящего стандарта не исключают применение криптографических и биометрических методов (алгоритмов) при аутентификации, но не устанавливают требования по их реализации |
|