Скачать ГОСТ 35247-2025 Аттракционы и устройства для развлечений водные. Безопасность при эксплуатации. Общие требованияДата актуализации: 01.06.2025 ГОСТ 35247-2025
Аттракционы и устройства для развлечений водные. Безопасность при эксплуатации. Общие требования
| Обозначение: |  ГОСТ 35247-2025 |
| Статус: | принят |
| Название рус.: | Аттракционы и устройства для развлечений водные. Безопасность при эксплуатации. Общие требования | | Название англ.: | Water attractions and amusement devices. Safety at operation. General requirements | | Дата актуализации текста: | 01.06.2025 | | Дата актуализации описания: | 01.06.2025 | | Дата регистрации: | 28.02.2025 | | Дата издания: | 20.05.2025 | | Дата введения: | 01.07.2026 | | Нормативные ссылки: | ГОСТ 2.601; ГОСТ Р 2.601-2019; ГОСТ 2.602; ГОСТ 2.610; ГОСТ 12.4.026; ГОСТ 7473; ГОСТ 16504; ГОСТ 18322; ГОСТ 20911; ГОСТ 23118; ГОСТ 25866; ГОСТ 35246-2025; ГОСТ 33807;ГОСТ ISO 13849-1-2014 | | Область применения: | Настоящий стандарт устанавливает общие требования безопасности при эксплуатации водных аттракционов и водных устройств для развлечений, установленных в аквапарках, расположенных в здании, сооружении, или на открытом воздухе, а также в бассейнах всех типов, кроме домашних. Настоящий стандарт распространяется на водные горки с твердой трассой и на надувные водные горки, аттракционы для катания в потоке воды, волновые бассейны, водные устройства для развлечений, развлекательно-игровые бассейны, водно-игровые комплексы и аквапарки, в которых установлены такие объекты. Требования настоящего стандарта не распространяются на водные аттракционы и устройства для развлечений, установленные на берегах естественных или искусственных водоемов, использующих для функционирования неподготовленную воду. Требования настоящего стандарта могут быть использованы при создании и эксплуатации других аттракционов | |
                                                        
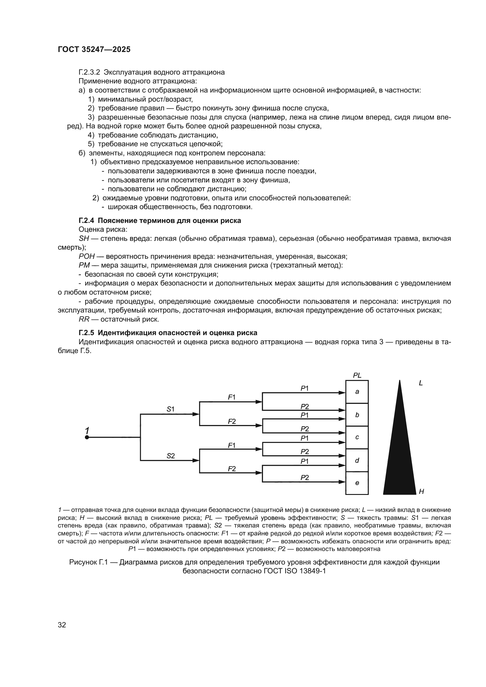
|