Скачать ГОСТ 13618-2025 Профили прессованные косоугольные фитингового уголкового сечения из алюминия, алюминиевых и магниевых сплавов. СортаментДата актуализации: 01.01.2026 ГОСТ 13618-2025
Профили прессованные косоугольные фитингового уголкового сечения из алюминия, алюминиевых и магниевых сплавов. Сортамент
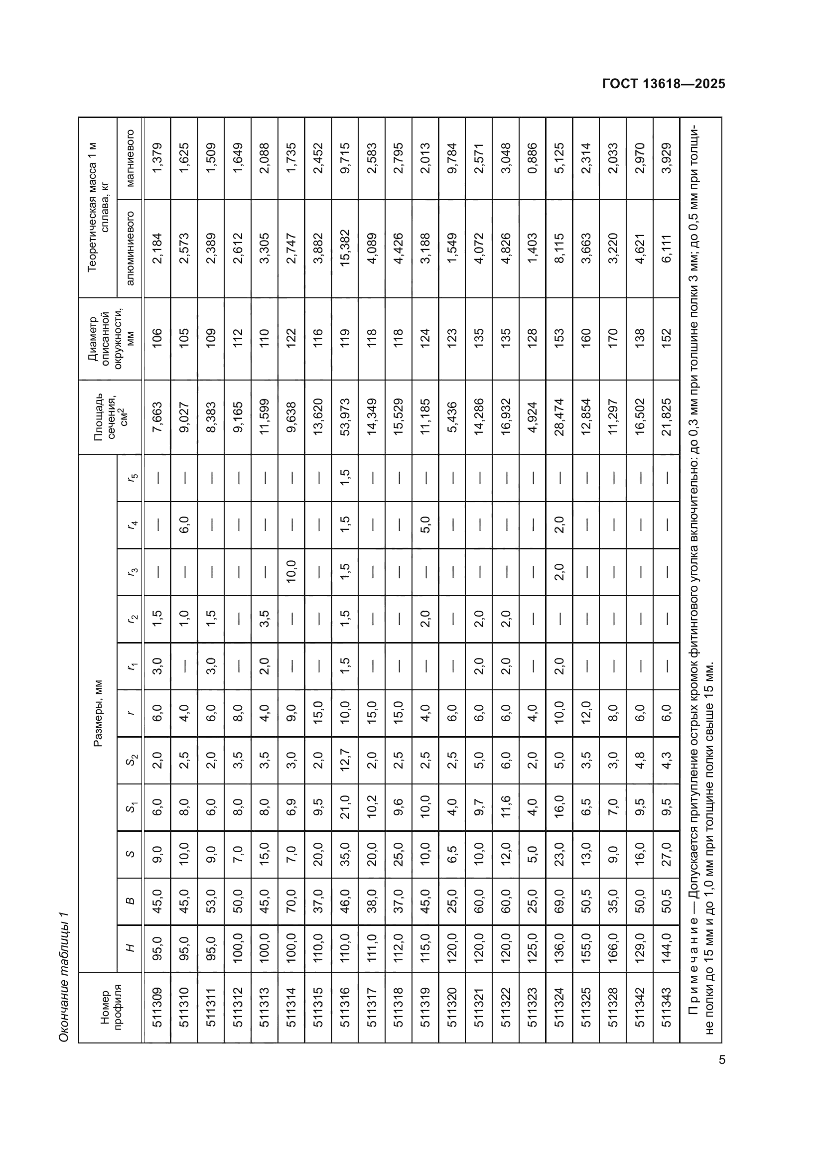
| Обозначение: |  ГОСТ 13618-2025 |
| Статус: | действующий |
| Название рус.: | Профили прессованные косоугольные фитингового уголкового сечения из алюминия, алюминиевых и магниевых сплавов. Сортамент | | Название англ.: | Extruded oblique-angled fitting angle-section shapes of aluminium, aluminium and magnesium alloys. Assortment | | Дата актуализации текста: | 01.01.2026 | | Дата актуализации описания: | 01.06.2025 | | Дата регистрации: | 28.02.2025 | | Дата издания: | 30.04.2025 | | Дата введения: | 01.09.2025 | | Взамен: | ГОСТ 13618-97 | | Область применения: | Настоящий стандарт устанавливает сортамент прессованных косоугольных профилей фитингового уголкового сечения из алюминия, алюминиевых и магниевых сплавов, изготовляемых методом горячего прессования | |
              
|