| Обозначение: |  ГОСТ 32482-2025 |
| Статус: | действующий |
| Название рус.: | Прокат тонколистовой холоднокатаный из электротехнической анизотропной стали для трансформаторов. Технические условия |
| Название англ.: | Gold-rolled grain-oriented electrical steel sheet and strip for transformer. Specifications |
| Дата актуализации текста: | 01.01.2026 |
| Дата актуализации описания: | 01.06.2025 |
| Дата регистрации: | 28.02.2025 |
| Дата издания: | 05.05.2025 |
| Дата введения: | 01.01.2026 |
| Взамен: | ГОСТ 32482-2013 |
| Нормативные ссылки: | ГОСТ 427; ГОСТ 4381; ГОСТ 6507; ГОСТ 7566; ГОСТ 12119.4; ГОСТ 12119.5; ГОСТ 12119.8; ГОСТ 21014-2022; ГОСТ 26877 |
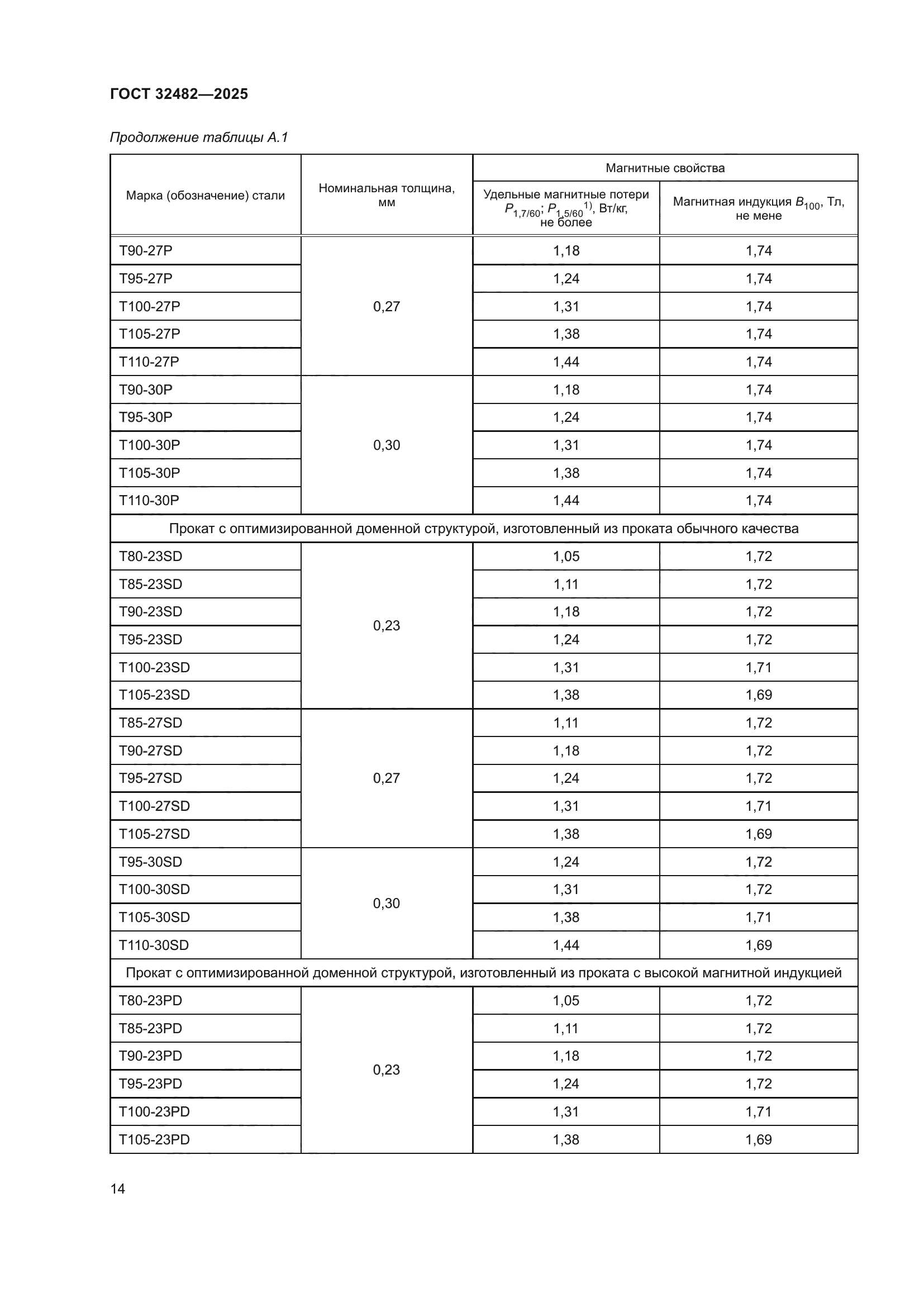
| Область применения: | Настоящий стандарт распространяется на тонколистовой холоднокатаный прокат номинальной толщиной 0,23; 0,27; 0,30; 0,35 и 0,50 мм из электротехнической анизотропной стали, предназначенный для изготовления магнитопроводов (сердечников) различного рода электротехнических устройств |
|