Скачать ГОСТ Р ИСО 22442-1-2025 Изделия медицинские, использующие ткани и их производные животного происхождения. Часть 1. Применение менеджмента рискаДата актуализации: 01.01.2026 ГОСТ Р ИСО 22442-1-2025
Изделия медицинские, использующие ткани и их производные животного происхождения. Часть 1. Применение менеджмента риска
| Обозначение: |  ГОСТ Р ИСО 22442-1-2025 |
| Статус: | действующий |
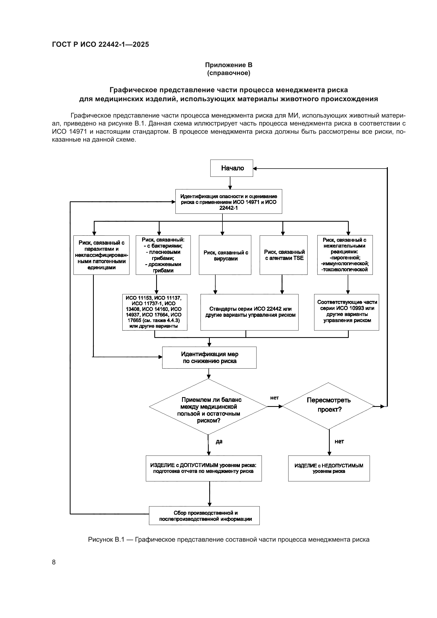
| Название рус.: | Изделия медицинские, использующие ткани и их производные животного происхождения. Часть 1. Применение менеджмента риска | | Название англ.: | Medical devices utilizing animal tissues and their derivatives. Part 1. Application of risk management | | Дата актуализации текста: | 01.06.2025 | | Дата актуализации описания: | 01.01.2026 | | Дата издания: | 07.05.2025 | | Дата введения: | 01.09.2025 | | Взамен: | ГОСТ Р ИСО 22442-1-2011 | | Аутентичен стандартам: | ISO 22442-1:2020 | | Нормативные ссылки: | ISO 10993-1;ISO 14971;ISO 22442-2;ISO 22442-3 | | Область применения: | Настоящий стандарт распространяется на медицинские изделия (МИ), за исключением диагностических МИ in vitro, изготовленных с использованием материалов животного происхождения, являющихся нежизнеспособными или приведенными в нежизнеспособное состояние. Настоящий стандарт в сочетании с ИСО 14971 определяет процедуру идентификации опасностей и опасных ситуаций, связанных с такими изделиями, для определения и оценивания возникающих рисков, управления этими рисками и мониторинга результативности такого управления. Настоящий стандарт устанавливает процесс принятия решения о допустимости остаточного риска, с учетом баланса остаточного риска, как установлено в ИСО 14971, и ожидаемой медицинской пользы по сравнению с существующими альтернативами. В настоящем стандарте установлены требования и приведены рекомендации по применению менеджмента риска, связанного с опасностями, характерными для МИ, произведенных с использованием тканей или их производных животного происхождения, такими как: a) контаминация бактериями, плесневыми или дрожжевыми грибами; b) контаминация вирусами; c) контаминация агентами, вызывающими инфекционные губчатые энцефалопатии (TSE); d) материал, вызывающий нежелательные (неблагоприятные) пирогенные, иммунологические или токсикологические реакции | |
                              
|