| Обозначение: |  ГОСТ Р 71502-2025 |
| Статус: | действующий |
| Название рус.: | Ротанг. Изделия из ротанга. Общие требования |
| Название англ.: | Rattan. Rattan products. General requirements |
| Дата актуализации текста: | 01.01.2026 |
| Дата актуализации описания: | 01.06.2025 |
| Дата издания: | 17.03.2025 |
| Дата введения: | 01.06.2025 |
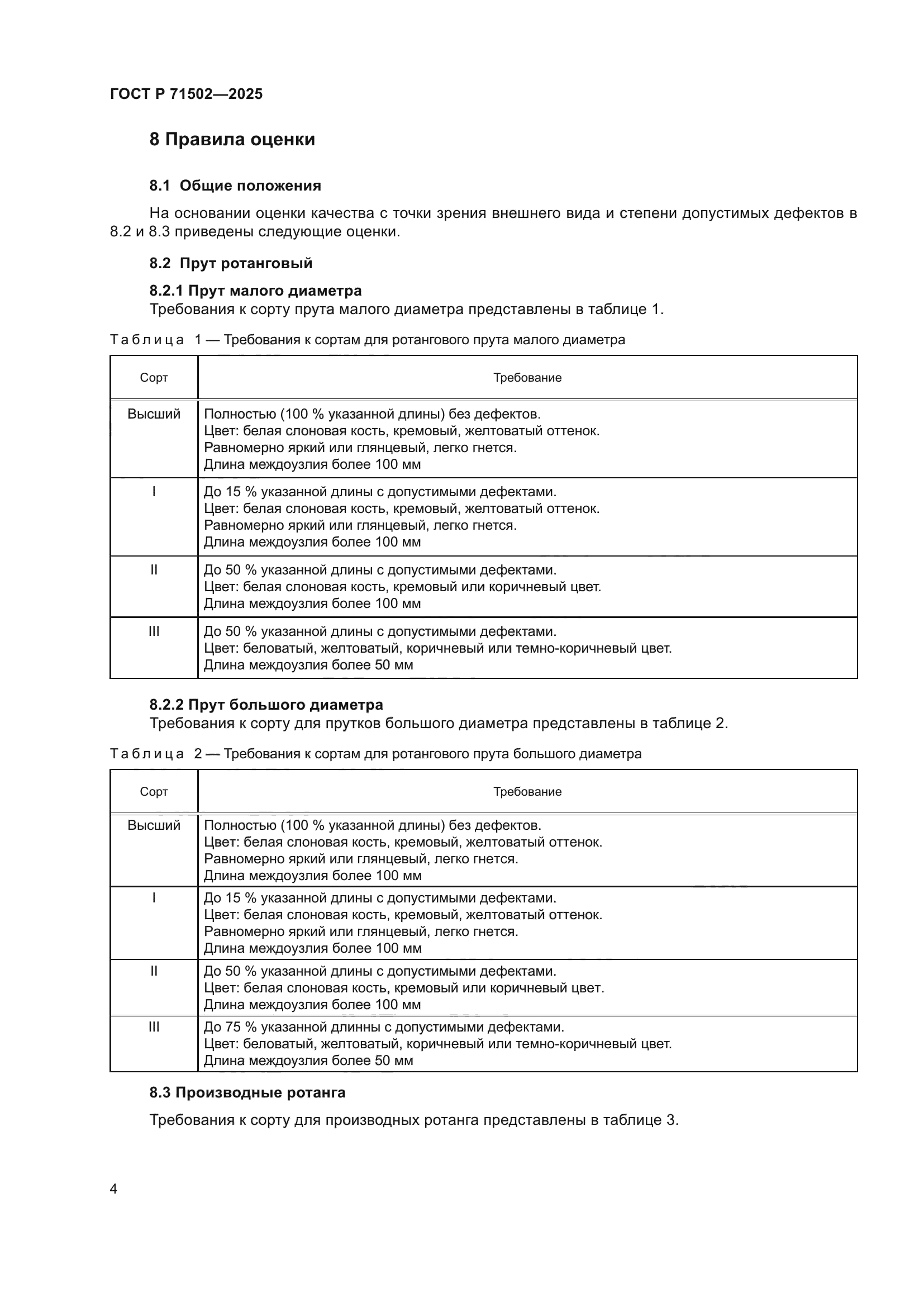
| Область применения: | Настоящий стандарт содержит метод классификации и общие требования для материалов из ротанга по физическим свойствам и качеству. Настоящий стандарт применяется в области производства и торговли сырьем, полуфабрикатами и изделиями из ротанга |
|