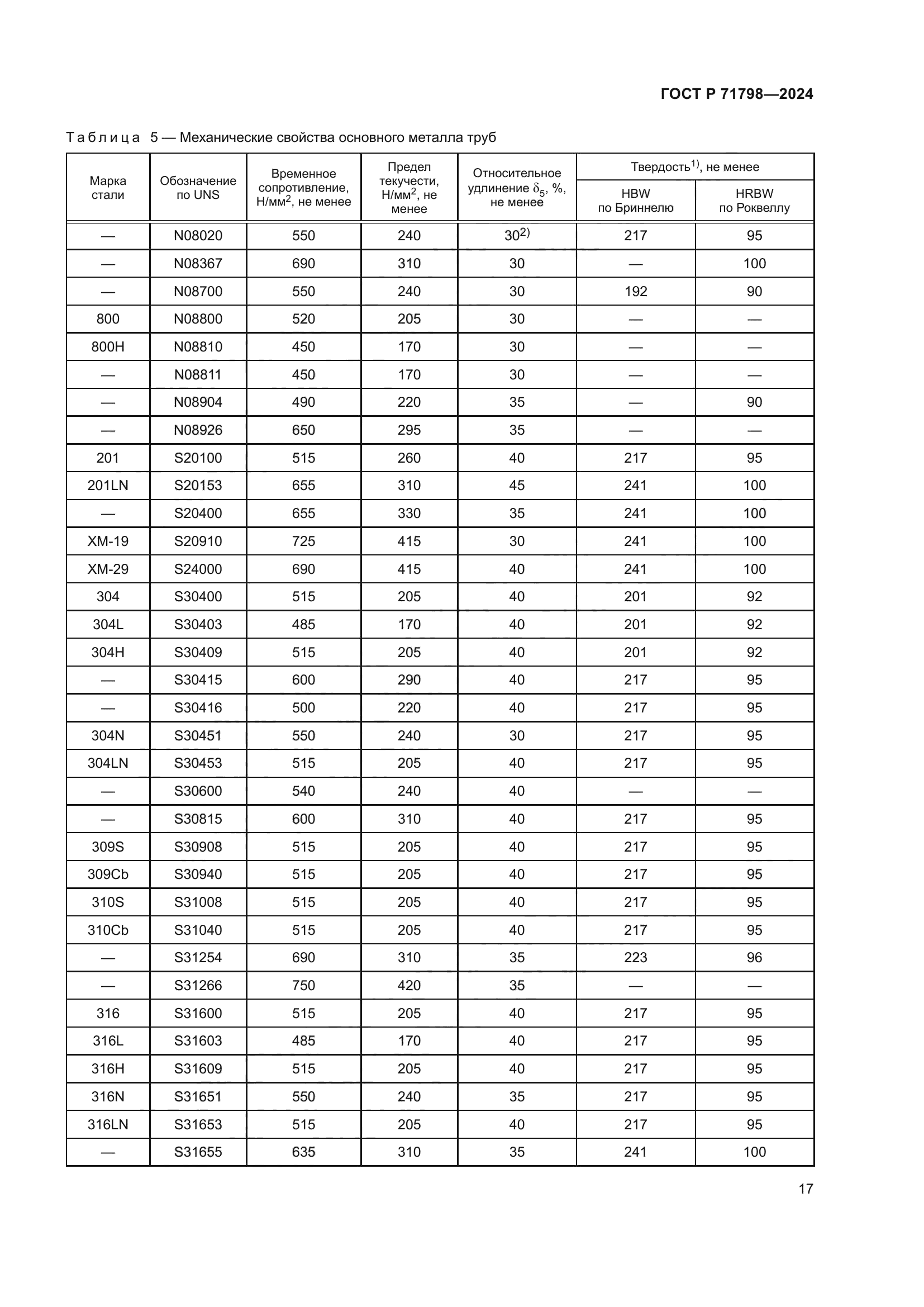
Скачать ГОСТ Р 71798-2024 Трубы из аустенитной хромоникелевой нержавеющей стали, сваренные электросваркой плавлением, для эксплуатации при высоких температурах, общего применения. Технические условияДата актуализации: 01.01.2026 ГОСТ Р 71798-2024
Трубы из аустенитной хромоникелевой нержавеющей стали, сваренные электросваркой плавлением, для эксплуатации при высоких температурах, общего применения. Технические условия
| Обозначение: |  ГОСТ Р 71798-2024 |
| Статус: | действующий |
| Название рус.: | Трубы из аустенитной хромоникелевой нержавеющей стали, сваренные электросваркой плавлением, для эксплуатации при высоких температурах, общего применения. Технические условия | | Название англ.: | Pipes of austenitic chromium-nickel stainless steel, welded by electric fusion welding, for high temperature service and general applications. Specification | | Дата актуализации текста: | 01.01.2026 | | Дата актуализации описания: | 01.06.2025 | | Дата издания: | 26.02.2025 | | Дата введения: | 01.09.2025 | | Нормативные ссылки: | ГОСТ 577; ГОСТ 1497; ГОСТ 2246; ГОСТ 3845; ГОСТ 6032-2017; ГОСТ 6507; ГОСТ 6996; ГОСТ 7512; ГОСТ 7565; ГОСТ 9012; ГОСТ 9013; ГОСТ 10692; ГОСТ 16504; ГОСТ 28548; ГОСТ 30432; ГОСТ 31458; ГОСТ 33439; ГОСТ 34094;ГОСТ ISO 10893-4;ГОСТ ISO 10893-6;ГОСТ ISO 10893-7; ГОСТ Р 54153; ГОСТ Р 58904; ГОСТ Р 58905; ГОСТ Р 70737; ГОСТ Р ИСО 14284 | | Область применения: | Настоящий стандарт распространяется на трубы из аустенитной хромоникелевой нержавеющей стали, сваренные электросваркой плавлением, предназначенные для эксплуатации: - в коррозионно-активных средах; - при повышенных температурах; - при комбинации указанных сред/температур; - для общего применения | |
                          
|