| Обозначение: |  ГОСТ Р 71944-2025 |
| Статус: | действующий |
| Название рус.: | Авиационная техника. Документы конструкторские и технологические. Правила внесения изменений |
| Название англ.: | Aircraft items. Design and technological documents. Modification rules |
| Дата актуализации текста: | 01.06.2025 |
| Дата актуализации описания: | 01.06.2025 |
| Дата издания: | 18.02.2025 |
| Дата введения: | 01.03.2025 |
| Нормативные ссылки: | ГОСТ 2.004; ГОСТ 2.113; ГОСТ 2.301; ГОСТ 2.501; ГОСТ 2.603; ГОСТ 3.1102; ГОСТ 3.1103; ГОСТ 3.1105; ГОСТ 3.1201; ГОСТ 13.1.002; ГОСТ 2208; ГОСТ 18675; ГОСТ Р 2.058; ГОСТ Р 2.102; ГОСТ Р 2.104; ГОСТ Р 2.105; ГОСТ Р 2.106; ГОСТ Р 2.503-2023; ГОСТ Р 58339; ГОСТ Р 58849 |
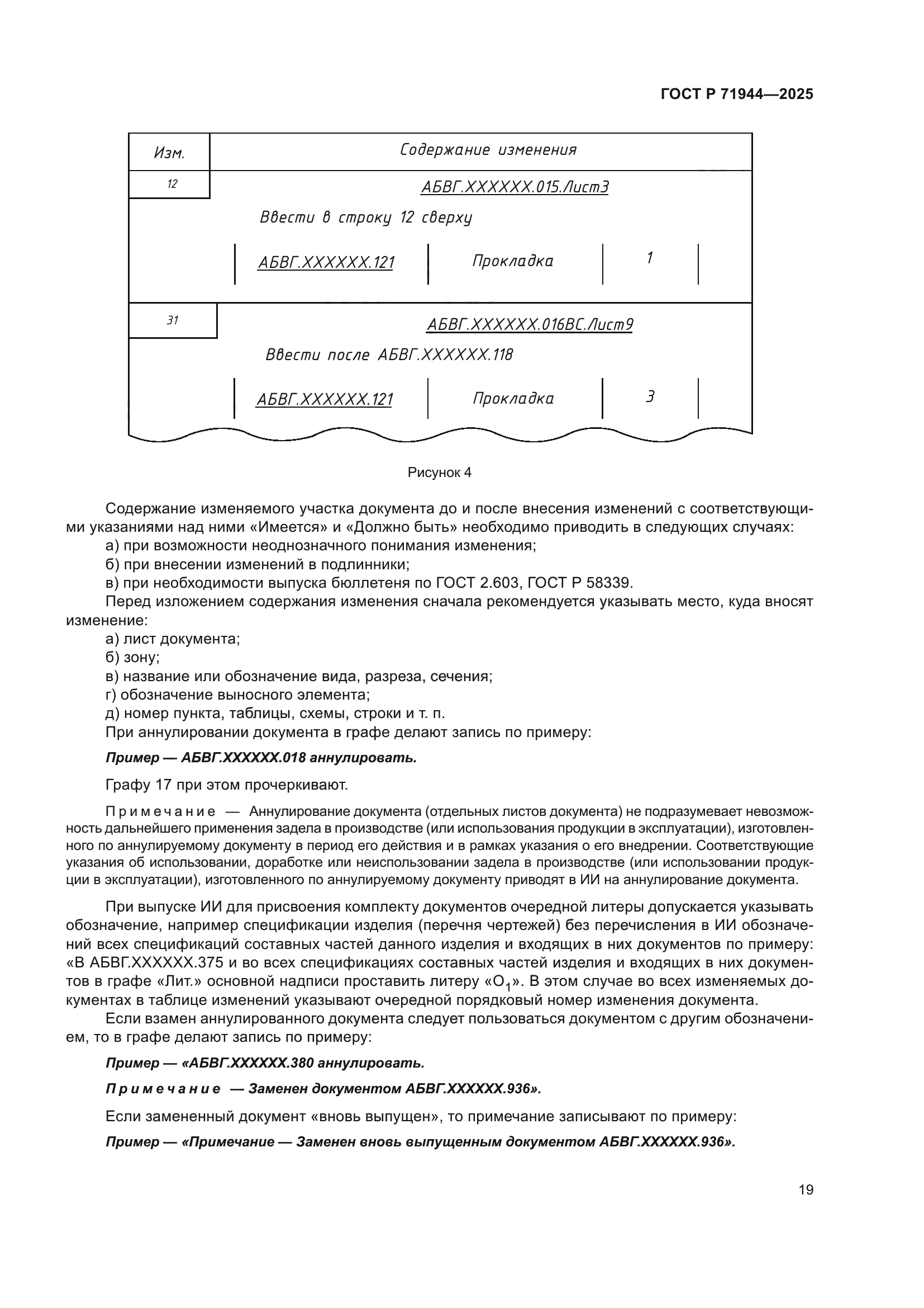
| Область применения: | Настоящий стандарт устанавливает правила внесения изменений в конструкторские и технологические документы (далее – документы) на изделия авиационной техники. Требования настоящего стандарта дополняют требования ГОСТ Р 2.503–2023 при его применении в отношении документов на авиационную технику, выполненных в бумажной форме или электронной форме в виде файлов |
|