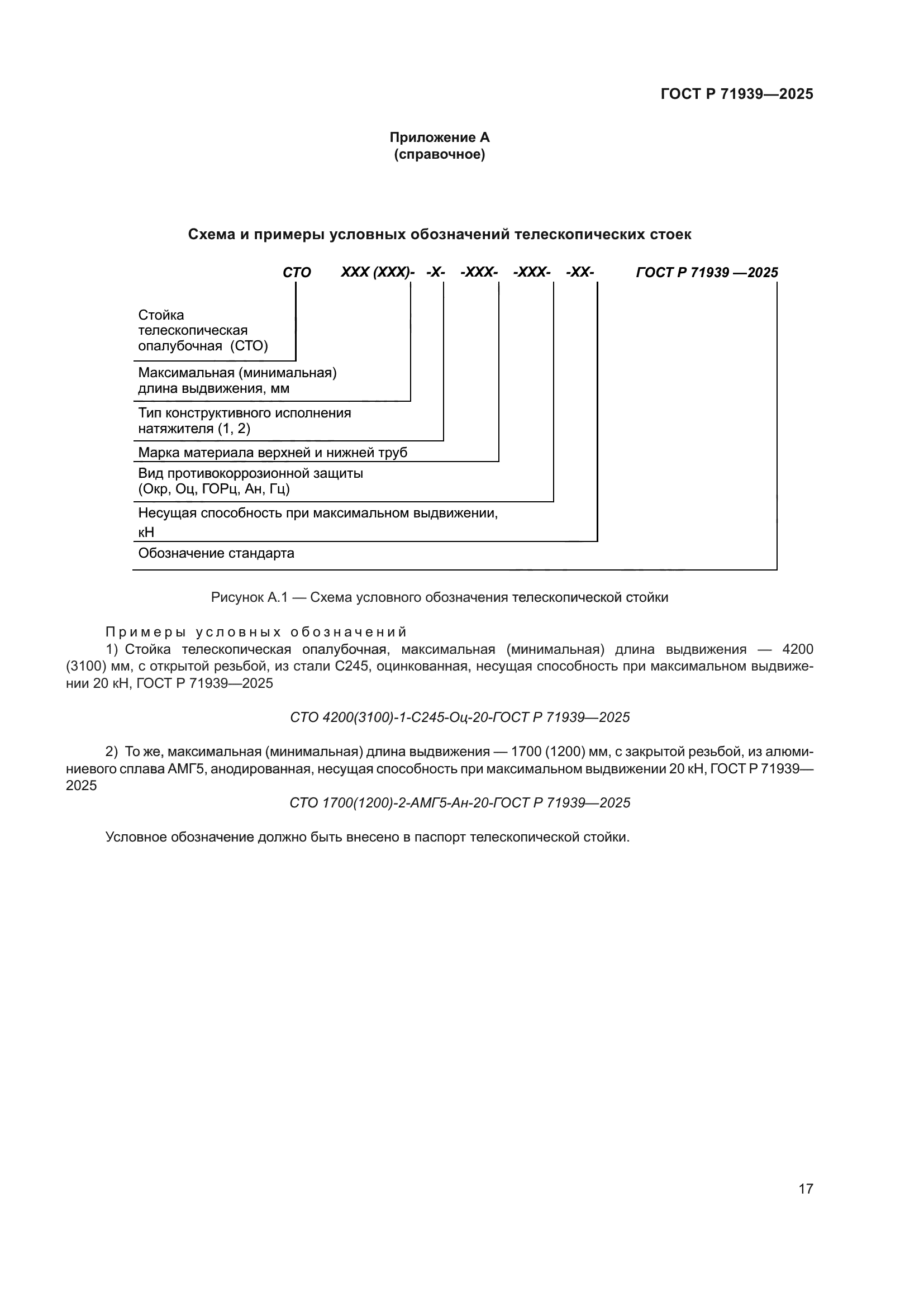
| Обозначение: |  ГОСТ Р 71939-2025 |
| Статус: | действующий |
| Название рус.: | Стойки телескопические опалубочные регулируемые. Общие технические условия |
| Название англ.: | Telescopic shuttering adjustable racks. General specifications |
| Дата актуализации текста: | 01.06.2025 |
| Дата актуализации описания: | 01.06.2025 |
| Дата издания: | 18.02.2025 |
| Дата введения: | 01.04.2025 |
| Нормативные ссылки: | ГОСТ 4.200-78; ГОСТ 9.014; ГОСТ 9.307; ГОСТ 9.401; ГОСТ 380; ГОСТ 977; ГОСТ 5264; ГОСТ 8731; ГОСТ 1050; ГОСТ 4784; ГОСТ 10702; ГОСТ 14192-96; ГОСТ 14771; ГОСТ 15150; ГОСТ 18482; ГОСТ 26358; ГОСТ 34329-2017; ГОСТ Р 54864 ; ГОСТ Р 57956;СП 16.13330;СП 28.13330;СП 128.13330;СП 371.1325800.2017 |
| Область применения: | Настоящий стандарт распространяется на телескопические опалубочные регулируемые стойки, применяемые на строительных площадках в качестве опорных элементов горизонтальных щитов опалубки перекрытий и для фиксирования горизонтальных элементов при монтаже и демонтаже изделий, и устанавливает общие технические условия к телескопическим опалубочным регулируемым стойкам и методы контроля при их изготовлении |
|