Скачать ГОСТ Р 70846.16-2024 Национальная система пространственных данных. Пространственная привязка. Системы координатДата актуализации: 01.06.2025 ГОСТ Р 70846.16-2024
Национальная система пространственных данных. Пространственная привязка. Системы координат
| Обозначение: |  ГОСТ Р 70846.16-2024 |
| Статус: | действующий |
| Название рус.: | Национальная система пространственных данных. Пространственная привязка. Системы координат | | Название англ.: | National spatial data system. Spatial Referencing. Reference systems and frames | | Дата актуализации текста: | 01.06.2025 | | Дата актуализации описания: | 01.06.2025 | | Дата издания: | 13.02.2025 | | Дата введения: | 01.02.2025 | | Нормативные ссылки: | ГОСТ Р 57773; ГОСТ Р 57668; ГОСТ Р 7.0.64; ГОСТ Р 70846.1; ГОСТ Р 70846.2 | | Область применения: | Настоящий стандарт определяет порядок описания пространственных данных с помощью координат, выделяя минимальный набор описательных данных для задания следующих основных типов систем координат (СК): а) статические СК (значения координат не меняются со временем): - геодезическая СК (на национальном или региональном уровне), - строительная сетка инженерного объекта, - внутренняя СК изображения или датчика изображения, - объектоцентрические (инструментальные) СК по [4] на подвижном основании (наземные транспортные средства, суда, летательный аппарат или космический корабль), которые могут быть связаны с земной СК через временное преобразование; б) динамические СК, в которых значения координат точек на поверхности Земли или вблизи нее изменяются со временем из-за деформаций земной коры, при этом изменяется реальное взаимное расположение точек, приводящее к деградации всей СК; в) параметрические СК, в которых третий нелинейный пространственный параметр изменяется с высотой или глубиной; г) системы счета времени, использующие дату и время dateTime, систему целого исчисления времени или систему непрерывного измерения времени; д) составные пространственные, параметрические или временные системы. Основные принципы задания СК не связаны с системой времени, но часть определяющих ее параметров может зависеть от времени. Значения координат в динамической СК могут изменяться со временем. Стандарт также описывает порядок задания информации для описания действий с координатами. В дополнение к минимально необходимым данным для определения СК или действий с координатами, допускается необязательная описательная информация (метаданные СК). Стандарт разработан с учетом положений ГОСТ Р 70846.1 для использования в рамках национальной системы пространственных данных, при применении федеральной государственной геоинформационной системы «Единая цифровая платформа «Национальная система пространственных данных», ориентирован на производителей и пользователей цифровых пространственных данных, разработчиков геоинформационных технологий. Стандарт также может применяться и к другим формам представления пространственных данных (карты, графики и схемы, текстовые документы) | |
                                                                                                                                                                        
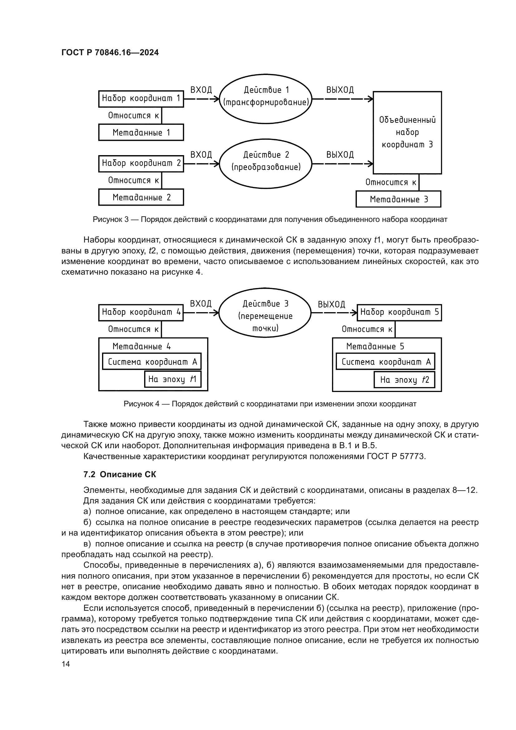
|