| Обозначение: |  ГОСТ Р 71920-2024 |
| Статус: | действующий |
| Название рус.: | Микросхемы интегральные. Цифро-аналоговые преобразователи. Методы измерения параметров характеристики преобразования |
| Название англ.: | Integrated microcircuits. Digital-to-analog converters. Methods for measuring the parameters of the conversion characteristic |
| Дата актуализации текста: | 01.06.2025 |
| Дата актуализации описания: | 01.06.2025 |
| Дата издания: | 06.02.2025 |
| Дата введения: | 01.03.2025 |
| Нормативные ссылки: | ГОСТ 12.1.019; ГОСТ 12.2.003; ГОСТ 22261; ГОСТ Р 57391; ГОСТ Р 70226; ГОСТ Р 70845 |
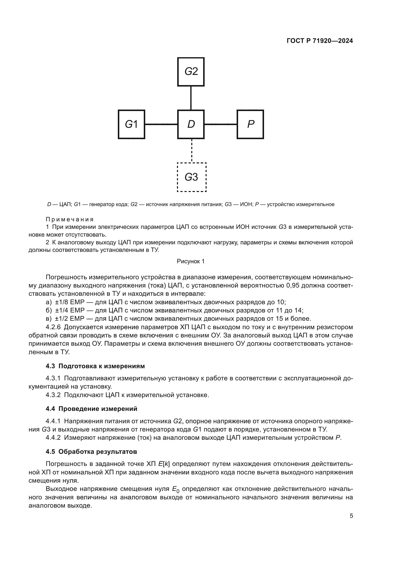
| Область применения: | Настоящий стандарт устанавливает один метод измерения величины в заданной точке характеристики преобразования на аналоговом выходе ЦАП и вычисления статических характеристик (выходного напряжения (тока) смещения нуля, погрешности усиления, погрешности в заданной точке характеристики преобразования, дифференциальной нелинейности, интегральной нелинейности и один метод измерения динамических параметров ЦАП |
|