Скачать ГОСТ Р 71841-2024 Цифровая промышленность. Измерение, управление и автоматизация промышленного процесса. Управление жизненным циклом систем и компонентовДата актуализации: 01.01.2026 ГОСТ Р 71841-2024
Цифровая промышленность. Измерение, управление и автоматизация промышленного процесса. Управление жизненным циклом систем и компонентов
| Обозначение: |  ГОСТ Р 71841-2024 |
| Статус: | действующий |
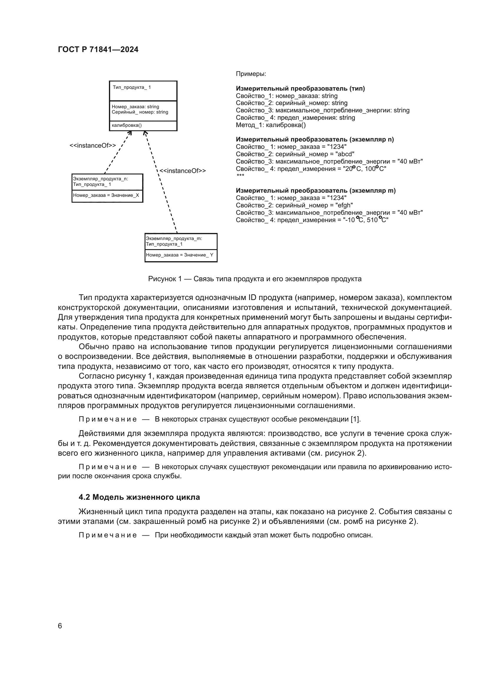
| Название рус.: | Цифровая промышленность. Измерение, управление и автоматизация промышленного процесса. Управление жизненным циклом систем и компонентов | | Название англ.: | Digital industry. Industrial-process measurement, control and automation. Life-cycle- management for systems and components | | Дата актуализации текста: | 01.01.2026 | | Дата актуализации описания: | 01.06.2025 | | Дата издания: | 28.01.2025 | | Дата введения: | 01.07.2025 | | Содержит требования: | IEC 62890(2020) | | Нормативные ссылки: | ГОСТ IEC 61800-2; ГОСТ Р МЭК 61987-1; ГОСТ Р МЭК 62264-1; ГОСТ Р МЭК 62402 | | Область применения: | Настоящий стандарт устанавливает основные принципы управления жизненным циклом систем и компонентов, используемых для измерения, управления и автоматизации промышленных процессов. Эти принципы применимы к различным отраслям промышленности. Настоящий стандарт определяет эталонные модели, связанные с жизненным циклом типа продукта и временем жизни экземпляра продукта. Он определяет последовательный набор общих эталонных моделей и терминов. Определены следующие ключевые модели: - жизненного цикла; - структуры; - совместимости. В настоящем стандарте также описано применение этих моделей для стратегий управления жизненным циклом. Он может быть использован для решения технических задач, касающихся проектирования, планирования, разработки и обслуживания систем и компонентов автоматизации, а также эксплуатации оборудования. Определения общих моделей и терминов, касающихся управления жизненным циклом, необходимы для общего понимания и применения всеми партнерами в цепочке создания стоимости, такими как пользователь оборудования, производитель продукции и систем, поставщик услуг и поставщик компонентов | |
                                                            
|