| Обозначение: |  ГОСТ 31344-2024 |
| Статус: | действующий |
| Название рус.: | Техника сельскохозяйственная. Машины и оборудование для удаления навоза. Методы испытаний |
| Название англ.: | Agricultural machinery. Manure removal machines and equipment. Test methods |
| Дата актуализации текста: | 01.06.2025 |
| Дата актуализации описания: | 01.06.2025 |
| Дата регистрации: | 16.12.2024 |
| Дата издания: | 28.01.2025 |
| Дата введения: | 01.04.2025 |
| Взамен: | ГОСТ 31344-2007 |
| Нормативные ссылки: | ГОСТ 2.601; ГОСТ 12.1.003; ГОСТ Р 2.601-2019; ГОСТ 12.1.004; ГОСТ 12.1.005; ГОСТ 12.1.008; ГОСТ 12.1.010; ГОСТ 12.1.012; ГОСТ 12.1.014; ГОСТ 12.1.016; ГОСТ 12.2.002; ГОСТ 12.2.003; ГОСТ 12.2.007.0; ГОСТ 12.2.019; ГОСТ 12.2.042; ГОСТ 12.2.049; ГОСТ 12.2.062; ГОСТ 12.2.111; ГОСТ 12.2.120; ГОСТ 12.3.002; ГОСТ 12.3.006; ГОСТ 12.4.026; ГОСТ 15.001; ГОСТ 17.2.6.02; ГОСТ 27.002; ГОСТ 427; ГОСТ 2405; ГОСТ 6019; ГОСТ 6376; ГОСТ 6572; ГОСТ 6709; ГОСТ 7502; ГОСТ 15150; ГОСТ 16504; ГОСТ 20915; ГОСТ Р 15.301-2016; ГОСТ Р 27.102-2021; ГОСТ Р 58144-2018; ГОСТ 21623-76; ГОСТ 21786; ГОСТ 23932; ГОСТ 24055-2016; ГОСТ 24104; ГОСТ 24444; ГОСТ 25336; ГОСТ 25866; ГОСТ 25893; ГОСТ 26025; ГОСТ 26026; ГОСТ 26712; ГОСТ 26713; ГОСТ 27388; ГОСТ 27979; ГОСТ 28305-89; ГОСТ 29329; ГОСТ 31993; ГОСТ Р 53228-2008; ГОСТ 33738; ГОСТ 34103; ГОСТ 34631 ;ГОСТ OIML R 76-1;ГОСТ ISO 4064-1;ГОСТ ISO 4064-4;ГОСТ ISО 4254-1;ГОСТ ISO 9612 |
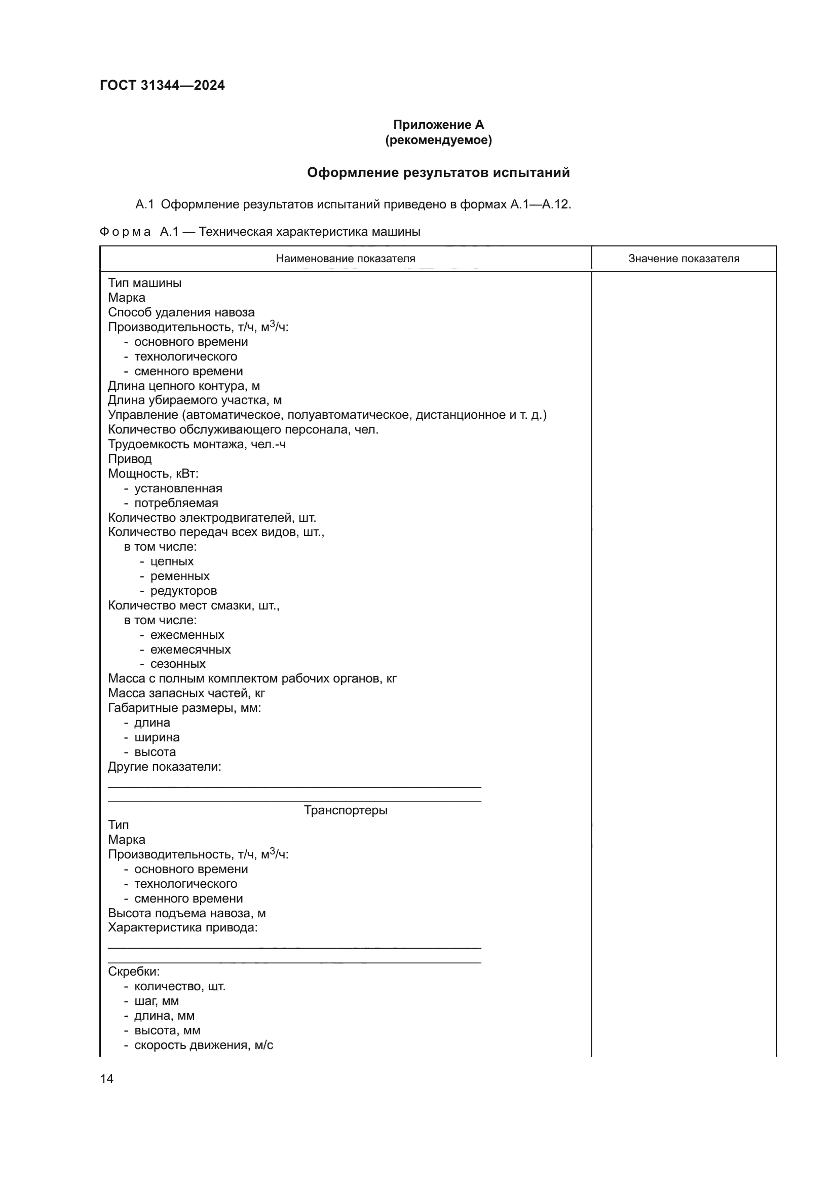
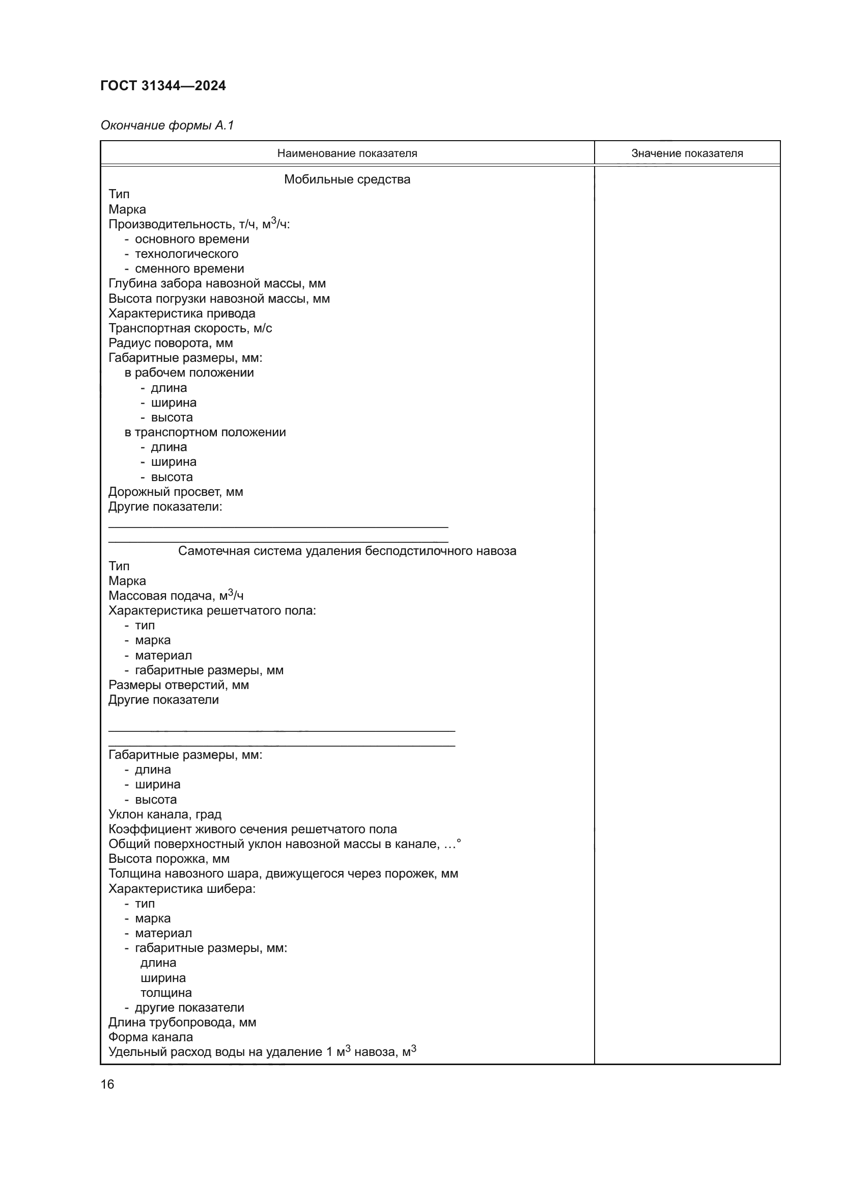
| Область применения: | Настоящий стандарт распространяется на машины, оборудование и системы удаления навоза: мобильные агрегаты (тракторы или самоходные шасси с навесным сельскохозяйственным отвалом), навозоуборочные транспортеры, установки циклического действия, пневмоустановки, дельта-скреперные установки и самотечные системы и устанавливает методы их испытаний, условия проведения испытаний и номенклатуру показателей и качества выполнения технологического процесса |
|