| Обозначение: |  ГОСТ 35235-2024 |
| Статус: | действующий |
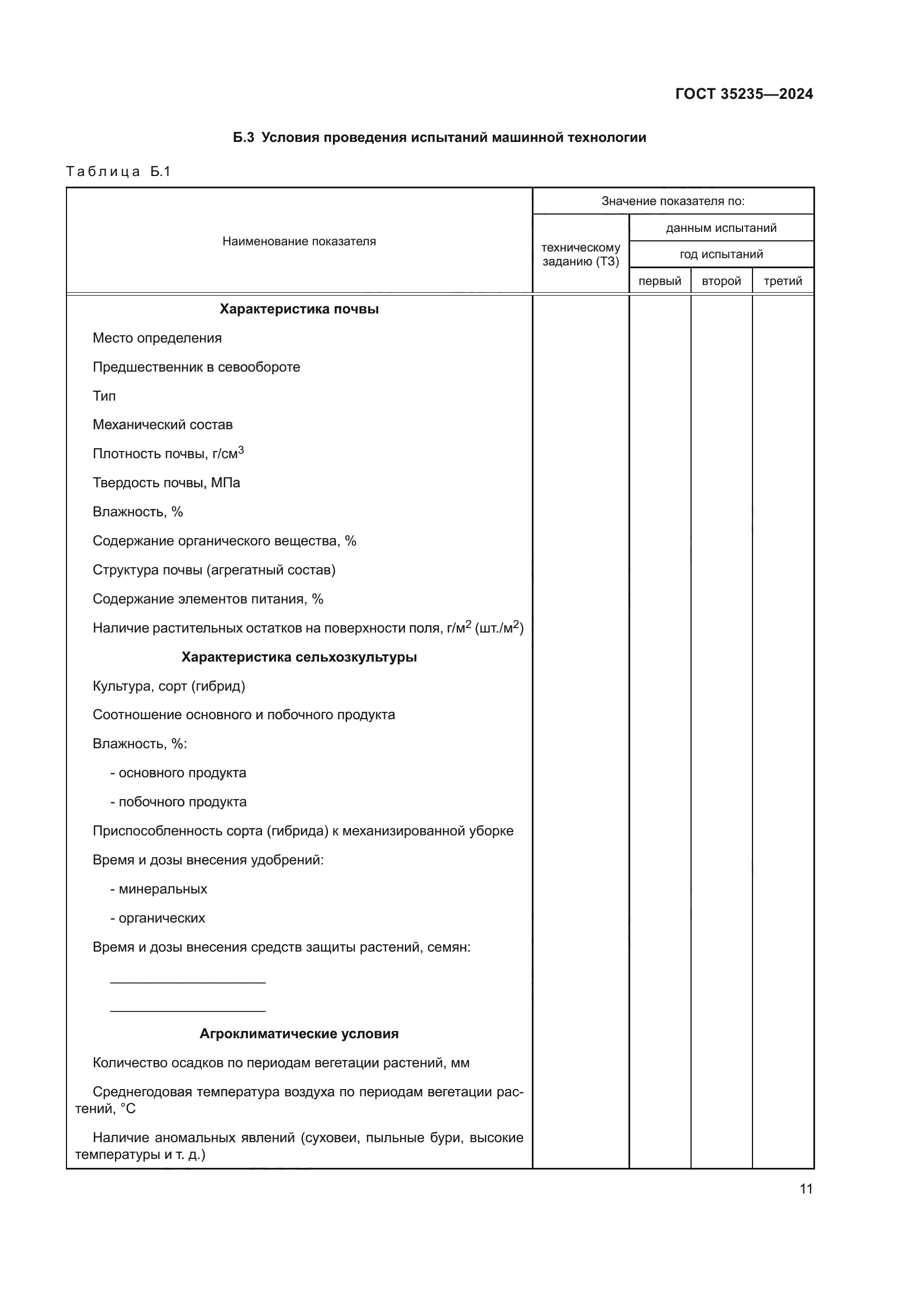
| Название рус.: | Машинные технологии для растениеводства. Методы экономической оценки. Порядок проведения испытаний |
| Название англ.: | Machine technologies for plant growing. Methods of economic evaluation. The procedure for conducting tests |
| Дата актуализации текста: | 01.06.2025 |
| Дата актуализации описания: | 01.06.2025 |
| Дата регистрации: | 16.12.2024 |
| Дата издания: | 23.01.2025 |
| Дата введения: | 01.04.2025 |
| Нормативные ссылки: | ГОСТ 16265; ГОСТ 20915; ГОСТ 24055; ГОСТ 26107; ГОСТ Р 58596-2019; ГОСТ 26213; ГОСТ 26261; ГОСТ 26953; ГОСТ 26954; ГОСТ 26955; ГОСТ 28714; ГОСТ 34363; ГОСТ 34393; ГОСТ Р 58656-2019; ГОСТ Р 58655-2019 |
| Область применения: | Настоящий стандарт распространяется на машинные технологии для производства продукции растениеводства и устанавливает порядок проведения испытаний и методы экономической оценки |
|