| Обозначение: |  ГОСТ Р 71896-2024 |
| Статус: | действующий |
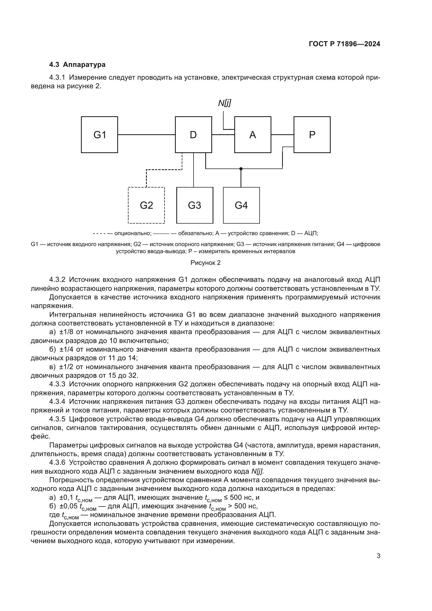
| Название рус.: | Микросхемы интегральные. Аналого-цифровые преобразователи. Методы измерения времени преобразования |
| Название англ.: | Integrated circuits. Analog-digital converters. Methods for measuring conversion time |
| Дата актуализации текста: | 01.06.2025 |
| Дата актуализации описания: | 01.06.2025 |
| Дата издания: | 21.01.2025 |
| Дата введения: | 01.03.2025 |
| Нормативные ссылки: | ГОСТ Р 57435; ГОСТ Р 57441; ГОСТ Р 70845; ГОСТ Р 71057 |
| Область применения: | Настоящий стандарт распространяется на интегральные микросхемы линейных аналого-цифровых преобразователей (АЦП) напряжения в цифровой код с числом эквивалентных двоичных разрядов до 32 включительно и устанавливает методы измерения времени преобразования. Настоящий стандарт устанавливает два метода измерения времени преобразования: метод 1 – для измерения времени преобразования АЦП, имеющих вход запуска (начала преобразования) и не имеющих выхода готовности данных (конца преобразования); метод 2 – для измерения времени преобразования АЦП, имеющих вход запуска и выход готовности данных |
|