| Обозначение: |  ГОСТ Р 71778.2-2024 |
| Статус: | действующий |
| Название рус.: | Умное производство. Интероперабельность единиц производственных возможностей для промышленных прикладных решений. Часть 2. Шаблоны возможностей и каталогизация программных блоков |
| Название англ.: | Smart manufacturing. Interoperability of capability units for manufacturing application solutions. Part 2. Capability templates and software unit cataloguing |
| Дата актуализации текста: | 01.06.2025 |
| Дата актуализации описания: | 01.06.2025 |
| Дата издания: | 16.01.2025 |
| Дата введения: | 01.01.2025 |
| Содержит требования: | ISO 16300-2:2019 |
| Нормативные ссылки: | ГОСТ Р ИСО 16100-1; ГОСТ Р ИСО 16100-2; ГОСТ Р ИСО 16100-3; ГОСТ Р ИСО 16100-4; ГОСТ Р ИСО 16100-5-2011 |
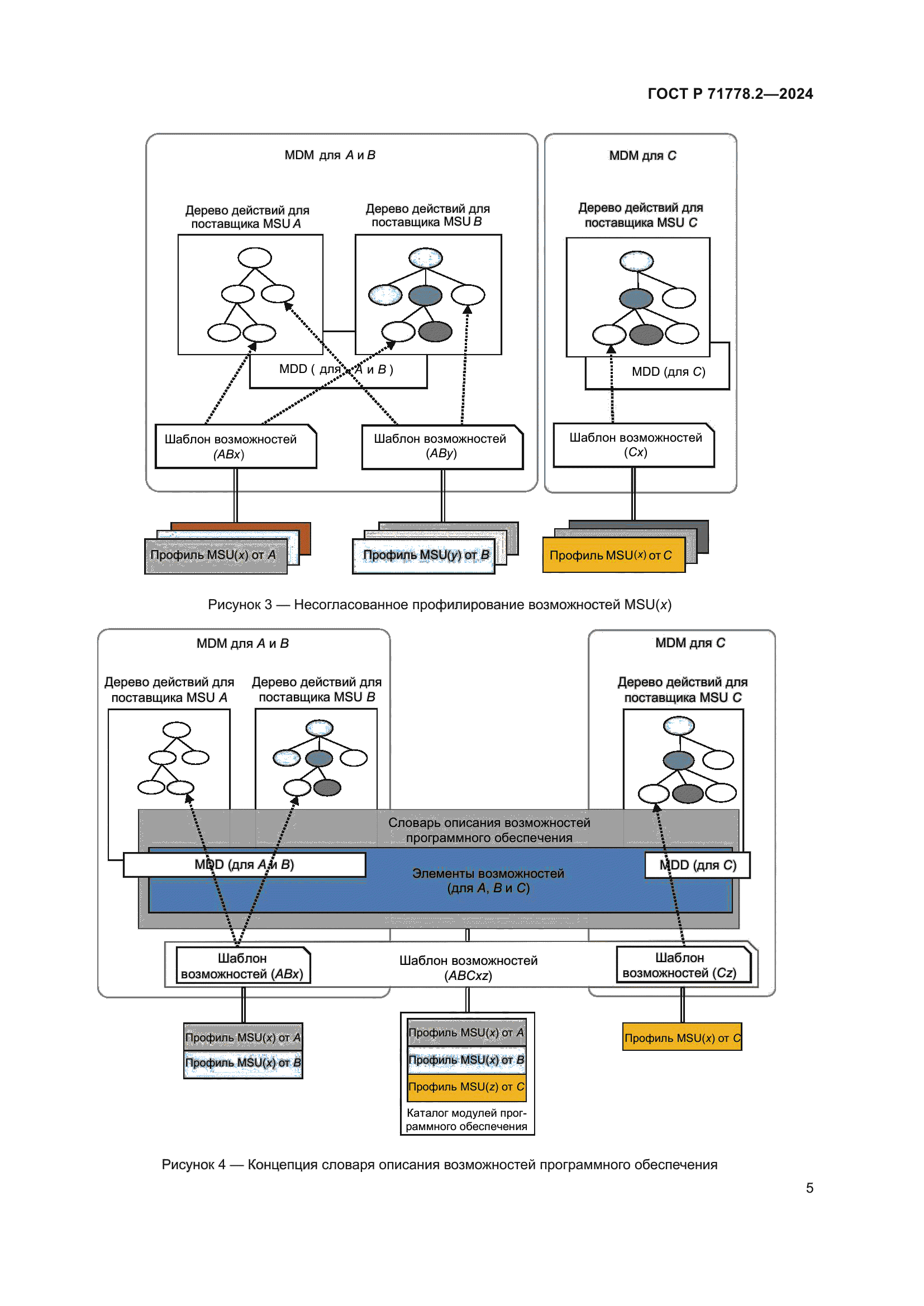
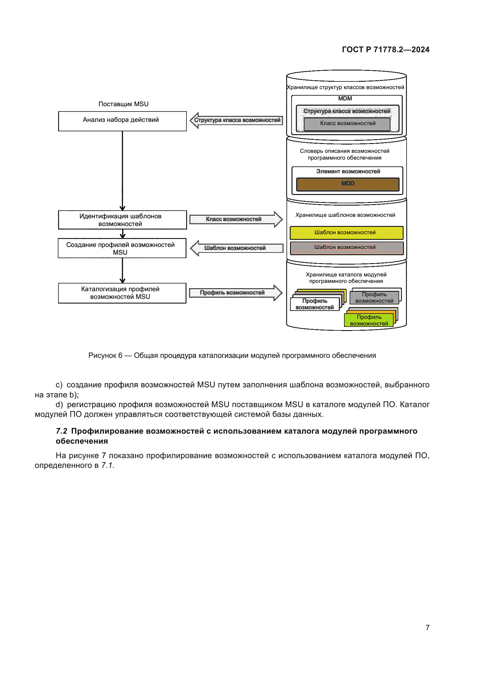
| Область применения: | Настоящий стандарт определяет шаблоны возможностей модуля программного обеспечения (ПО) решения автоматизации, которые могут быть сопоставлены с функциональными требованиями целевого производственного приложения. Настоящий стандарт определяет разработку и управление каталогом модулей ПО с точки зрения свойств возможностей и правила отображения из профилей возможностей в каталог модулей ПО |
|