| Обозначение: |  ГОСТ 13863-2024 |
| Статус: | действующий |
| Название рус.: | Полотна вязально-прошивные дублированные технического назначения. Технические условия |
| Название англ.: | Laminated stitch-bonded sheets for technical use. Specifications |
| Дата актуализации текста: | 01.01.2026 |
| Дата актуализации описания: | 01.06.2025 |
| Дата регистрации: | 31.05.2024 |
| Дата издания: | 09.01.2025 |
| Дата введения: | 01.06.2025 |
| Взамен: | ГОСТ 13863-89 |
| Нормативные ссылки: | ГОСТ 12.1.005; ГОСТ 12.4.021; ГОСТ 12.4.294; ГОСТ 6943.0; ГОСТ 6943.10-2015; ГОСТ 6943.17-94; ГОСТ 6943.18; ГОСТ 8273; ГОСТ 9412; ГОСТ 10354; ГОСТ 11109; ГОСТ 14192; ГОСТ 15902.2-2003; ГОСТ 17308; ГОСТ 29101-91 |
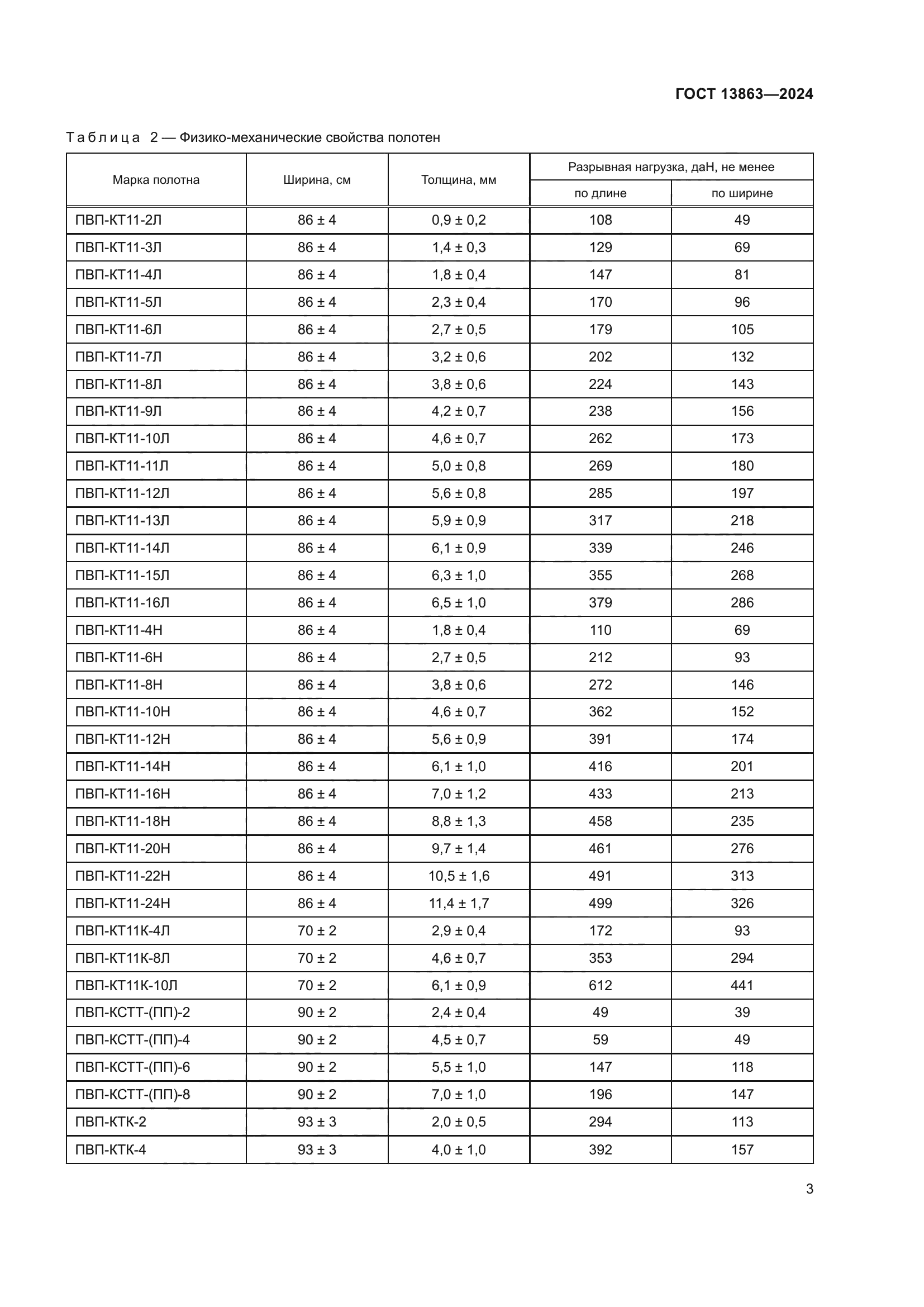
| Область применения: | Настоящий стандарт распространяется на дублированные вязально-прошивные полотна (далее – полотна) технического назначения, предназначенные в качестве высокотемпературной теплоизоляции, наполнителей в композиционных материалах и для других целей |
|