| Обозначение: |  ГОСТ Р 71778.1-2024 |
| Статус: | действующий |
| Название рус.: | Умное производство. Интероперабельность единиц производственных возможностей для промышленных прикладных решений. Часть 1. Критерии интероперабельности единиц производственных возможностей согласно требованиям к применению |
| Название англ.: | Smart manufacturing. Interoperability of capability units for manufacturing application solutions. Part 1. Interoperability criteria of capability units per application requirements |
| Дата актуализации текста: | 01.06.2025 |
| Дата актуализации описания: | 01.06.2025 |
| Дата издания: | 09.01.2025 |
| Дата введения: | 10.01.2025 |
| Содержит требования: | ISO 16300-1:2018 |
| Нормативные ссылки: | ГОСТ Р ИСО 15704; ГОСТ Р ИСО 16100-1; ГОСТ Р ИСО 16100-2; ГОСТ Р ИСО 16100-3; ГОСТ Р ИСО 16100-4; ГОСТ Р ИСО 16100-5; ГОСТ Р ИСО 16100-6; ГОСТ Р ИСО 18435-1; ГОСТ Р МЭК 62264-1 |
| Область применения: | Настоящий стандарт определяет структуру для описания решения автоматизации в виде возможностей, обеспечиваемых набором MSU. Настоящий стандарт определяет набор элементов возможностей и правил компоновки для представления критериев интероперабельности согласно требованиям, предъявляемым к возможностям прикладной системы автоматизации предприятия |
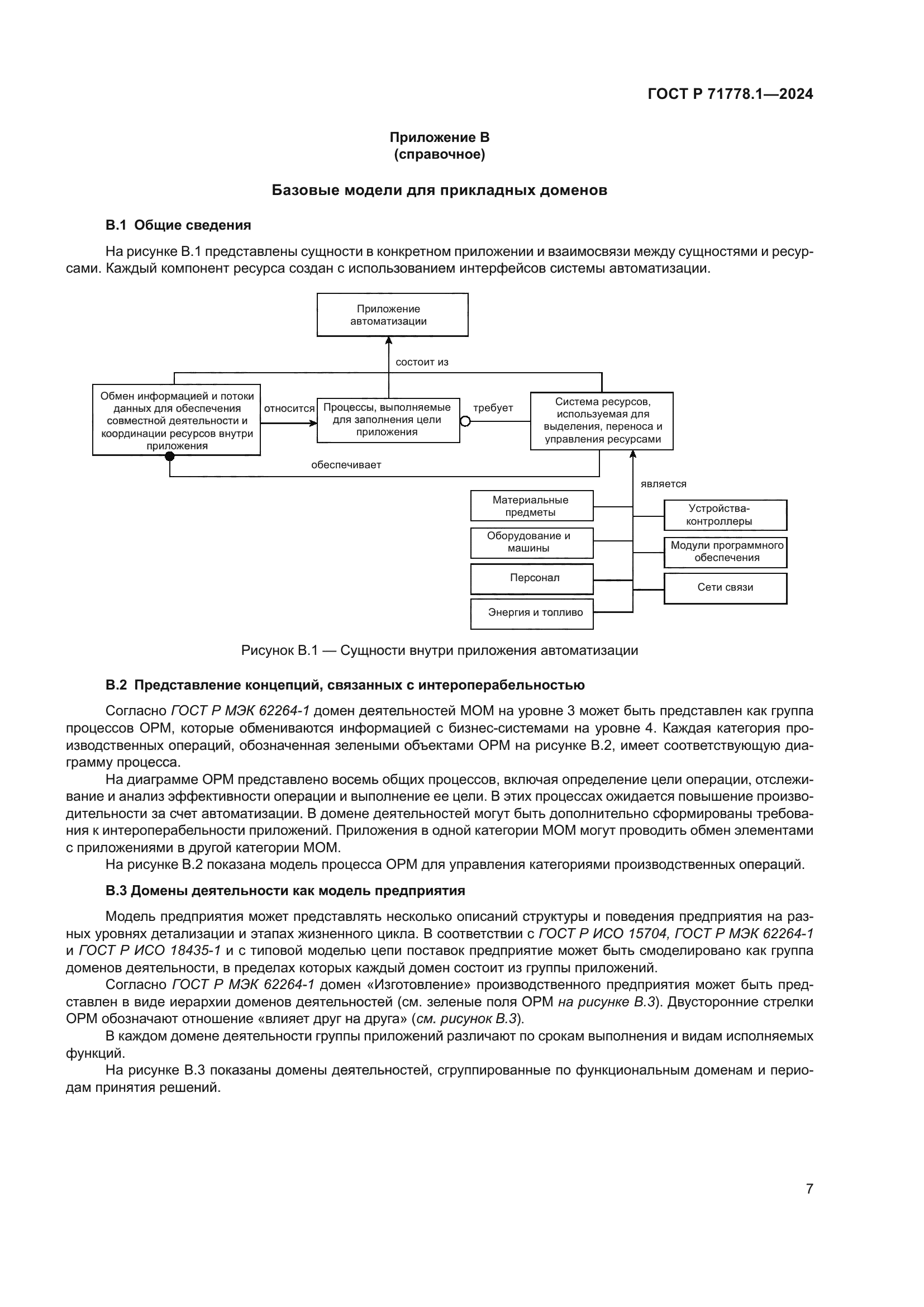
|