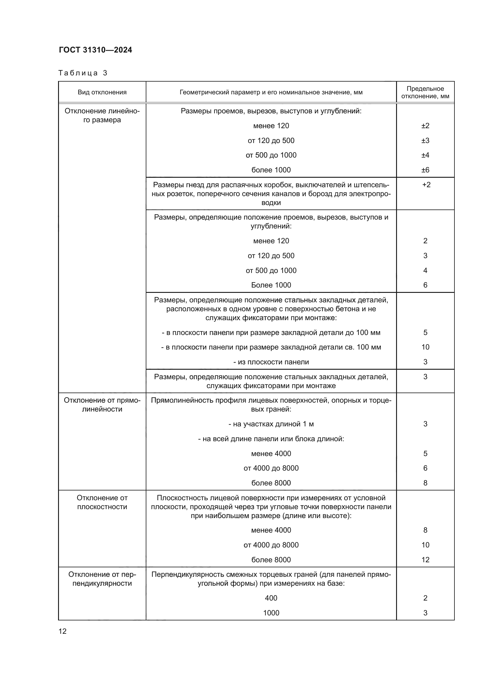
| Обозначение: |  ГОСТ 31310-2024 |
| Статус: | действующий |
| Название рус.: | Панели стеновые трехслойные железобетонные с эффективным утеплителем. Общие технические условия |
| Название англ.: | Wall three-layer reinforced concrete panels with enerqy-efficient insulation. General specifications |
| Дата актуализации текста: | 01.01.2026 |
| Дата актуализации описания: | 01.06.2025 |
| Дата регистрации: | 29.11.2024 |
| Дата издания: | 27.12.2024 |
| Дата введения: | 01.06.2025 |
| Взамен: | ГОСТ 31310-2015 |
| Нормативные ссылки: | ГОСТ 380; ГОСТ 475; ГОСТ 965; ГОСТ 5802; ГОСТ 6727; ГОСТ 7076; ГОСТ 8478; ГОСТ 8829; ГОСТ 9573; ГОСТ 10060; ГОСТ 10180; ГОСТ 10181; ГОСТ 10499; ГОСТ 11024; ГОСТ 11214; ГОСТ 12730.1; ГОСТ 12730.2; ГОСТ 12730.5; ГОСТ 13015; ГОСТ 13996—2019; ГОСТ 15588 ; ГОСТ 16381; ГОСТ 17057; ГОСТ 17177; ГОСТ 17623; ГОСТ 17624; ГОСТ 18105; ГОСТ 19281; ГОСТ 21519; ГОСТ 21718; ГОСТ 21780; ГОСТ 22690; ГОСТ 22950; ГОСТ 23009; ГОСТ 23166; ГОСТ 23279; ГОСТ 23858; ГОСТ 24297; ГОСТ 24700; ГОСТ 25097; ГОСТ 25820-2021; ГОСТ 26633; ГОСТ 27005; ГОСТ 28013; ГОСТ 28089; ГОСТ 30244; ГОСТ 30674; ГОСТ 30971; ГОСТ 31938-2022; ГОСТ 32310; ГОСТ 32314-2023; ГОСТ 32486-2021; ГОСТ 32487-2015; ГОСТ 32492-2015; ГОСТ 34028 |
| Область применения: | Настоящий стандарт распространяется на трехслойные бетонные и железобетонные панели с эффективными утеплителями (далее — панели), предназначенные для наружных стен жилых, общественных и производственных зданий. Требования настоящего стандарта не распространяются: - на составные панели; - панели стен помещений с мокрым режимом; - заполнения оконных и дверных проемов в панелях. Панели, предназначенные для эксплуатации в условиях воздействия агрессивной среды, должны удовлетворять требованиям настоящего стандарта с учетом требований нормативных документов государства, принявшего настоящий стандарт в области защиты железобетонных конструкций от коррозии |
|