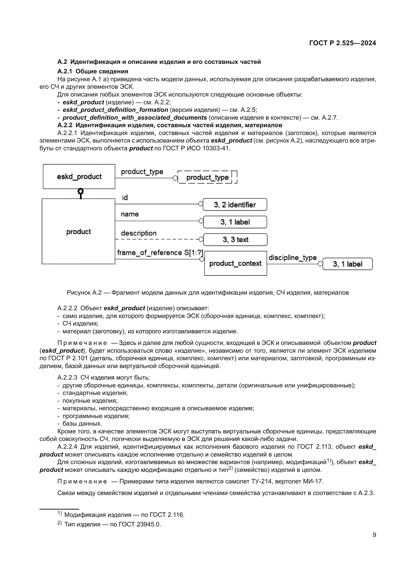
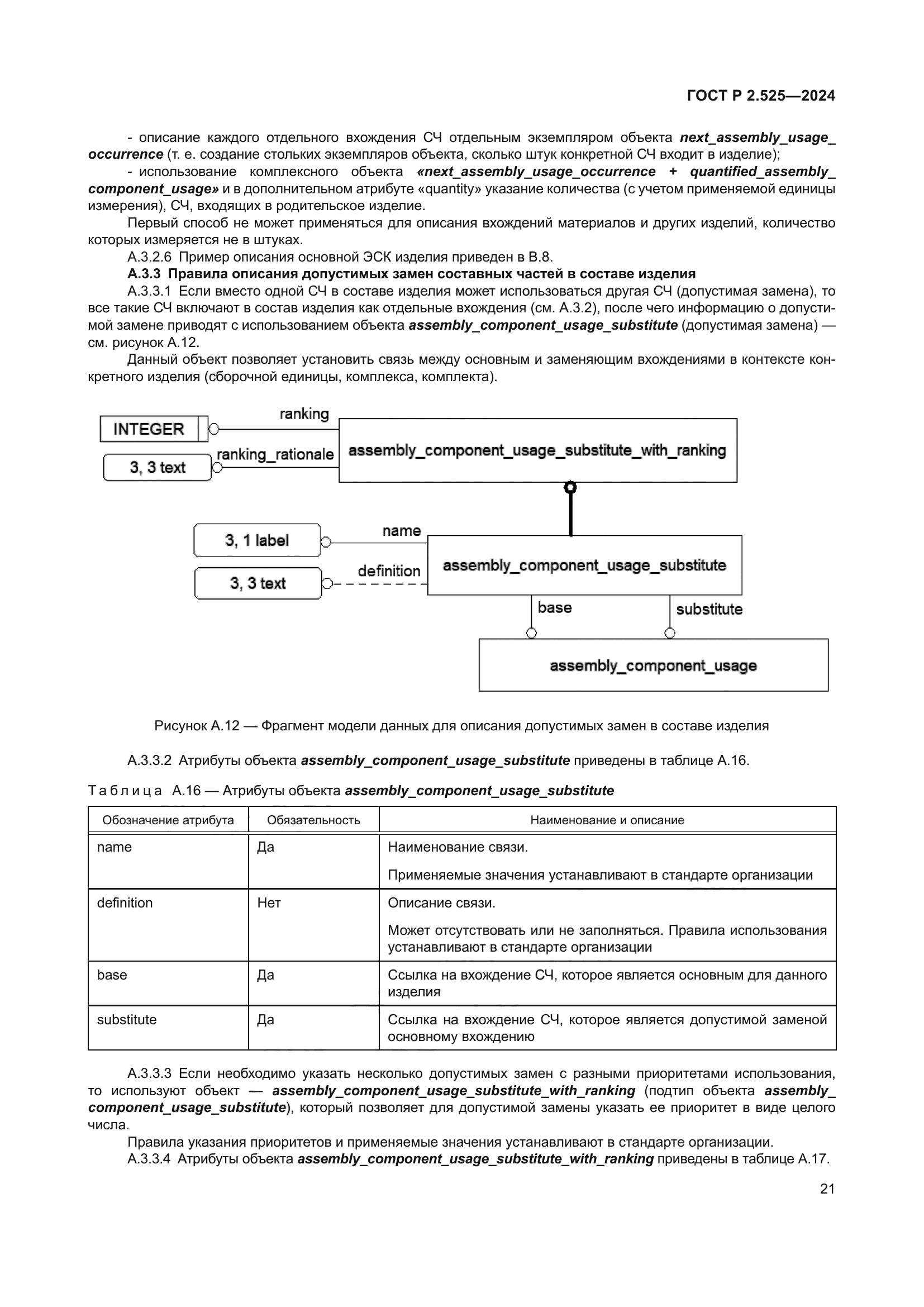
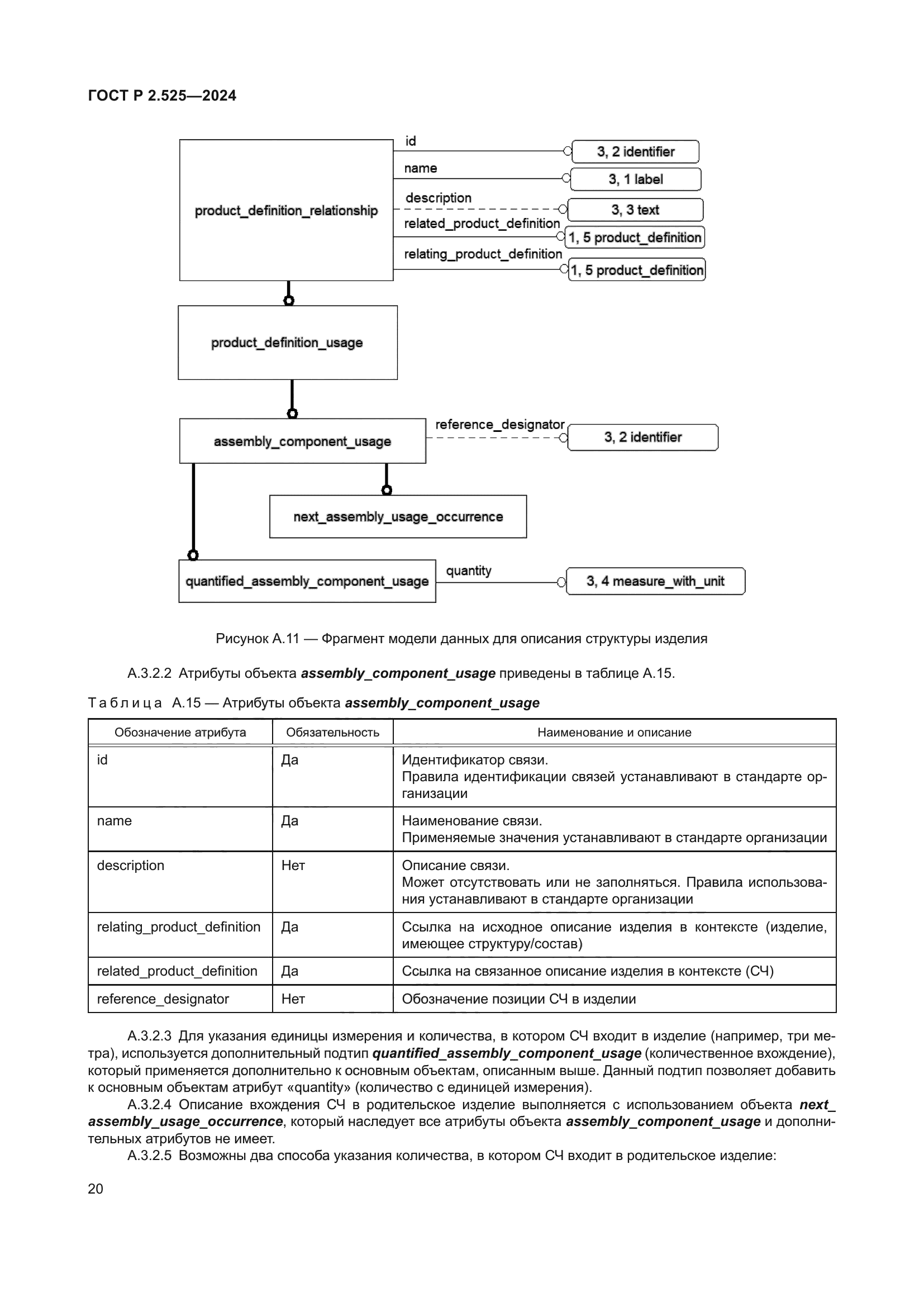
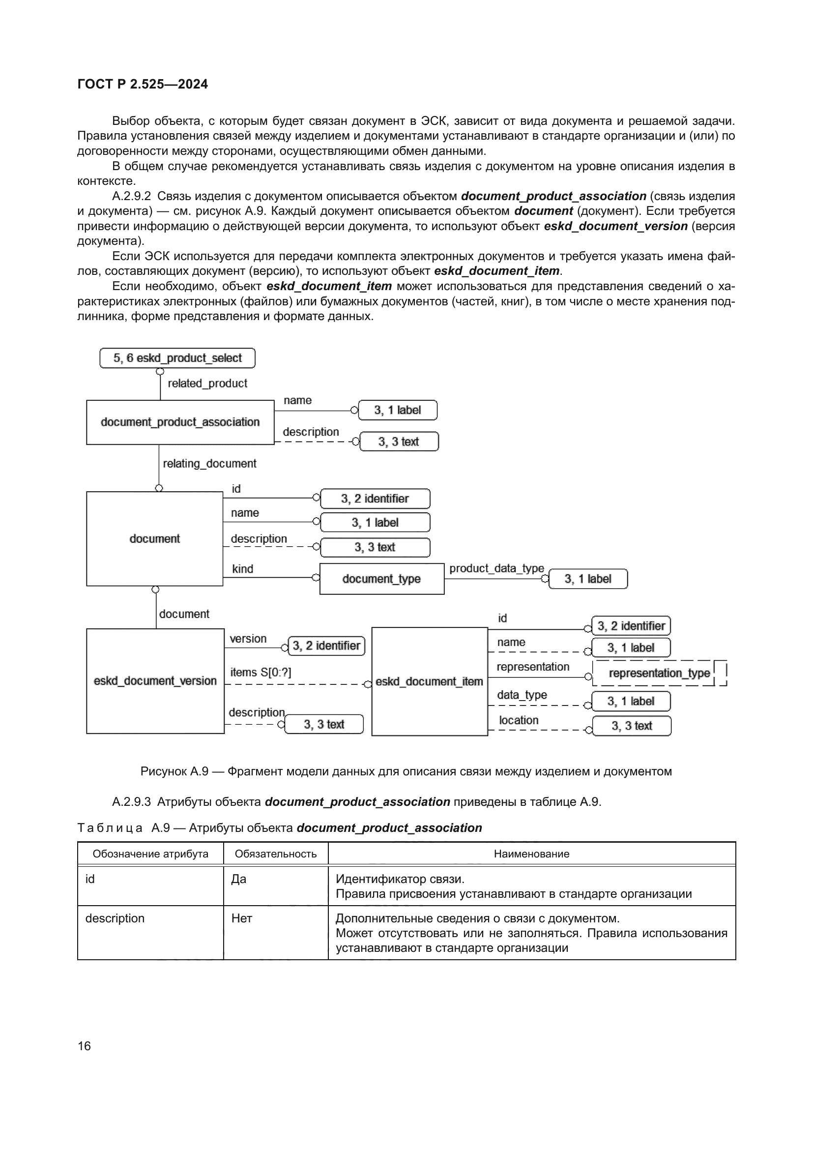
| Обозначение: |  ГОСТ Р 2.525-2024 |
| Статус: | действующий |
| Название рус.: | Единая система конструкторской документации. Электронная структура изделия конструктивная. Формат данных |
| Название англ.: | Unified system for design documentation. Electronic design structure of product. Data format |
| Дата актуализации текста: | 01.06.2025 |
| Дата актуализации описания: | 01.06.2025 |
| Дата издания: | 10.12.2024 |
| Дата введения: | 01.03.2025 |
| Нормативные ссылки: | ГОСТ 2.113; ГОСТ 2.116; ГОСТ 23945.0; ГОСТ Р 2.005; ГОСТ Р 2.053; ГОСТ Р 2.101; ГОСТ Р 2.102; ГОСТ Р 2.201; ГОСТ Р 2.503; ГОСТ Р 7.0.64; ГОСТ Р ИСО 10303-11-2009; ГОСТ Р ИСО 10303-21; ГОСТ Р ИСО 10303-41; ГОСТ Р ИСО 10303-44 |
| Область применения: | Настоящий стандарт устанавливает требования к модели и формату данных содержательной части конструктивной электронной структуры изделия при ее передаче между организациями и (или) информационными системами. Настоящий стандарт распространяется на изделия машиностроения и применяется по согласованию сторон |
|