| Обозначение: |  ГОСТ Р 113.00.35-2024 |
| Статус: | действующий |
| Название рус.: | Наилучшие доступные технологии. Алгоритм экспертной оценки наилучших доступных технологий. Общие требования |
| Название англ.: | The best available techniques. Algorithm for Expert Assessment the Best Available Techniques. General requirements |
| Дата актуализации текста: | 01.06.2025 |
| Дата актуализации описания: | 01.06.2025 |
| Дата издания: | 16.12.2024 |
| Дата введения: | 01.01.2025 |
| Нормативные ссылки: | ГОСТ Р 113.00.06 |
| Область применения: | Настоящий стандарт устанавливает общие требования к проведению экспертной оценки для определения соответствия технологических процессов, оборудования, технических способов и методов, применяемых объектами I или II категории, оказывающими негативное воздействие на окружающую среду при осуществлении хозяйственной и (или) иной деятельности (см. [4]), требованиям наилучших доступных технологий (НДТ). Положения настоящего стандарта рекомендуется использовать при проведении различных форм определения соответствия НДТ |
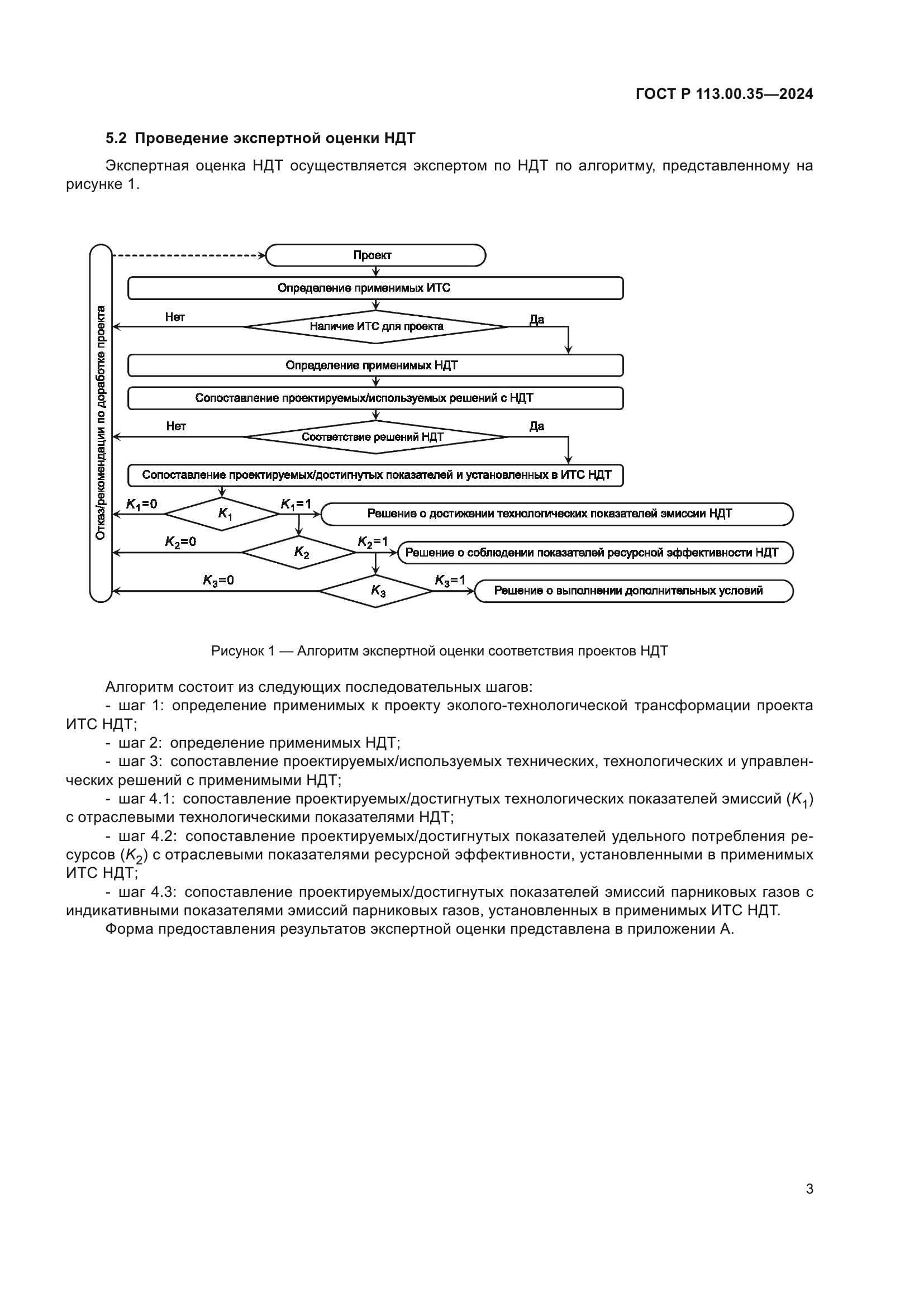
|