Скачать ГОСТ Р 71487.1-2024 Цифровая промышленность. Качество промышленных данных. Часть 61. Управление качеством промышленных данных. Базовая модель процессаДата актуализации: 01.01.2026 ГОСТ Р 71487.1-2024
Цифровая промышленность. Качество промышленных данных. Часть 61. Управление качеством промышленных данных. Базовая модель процесса
| Обозначение: |  ГОСТ Р 71487.1-2024 |
| Статус: | действующий |
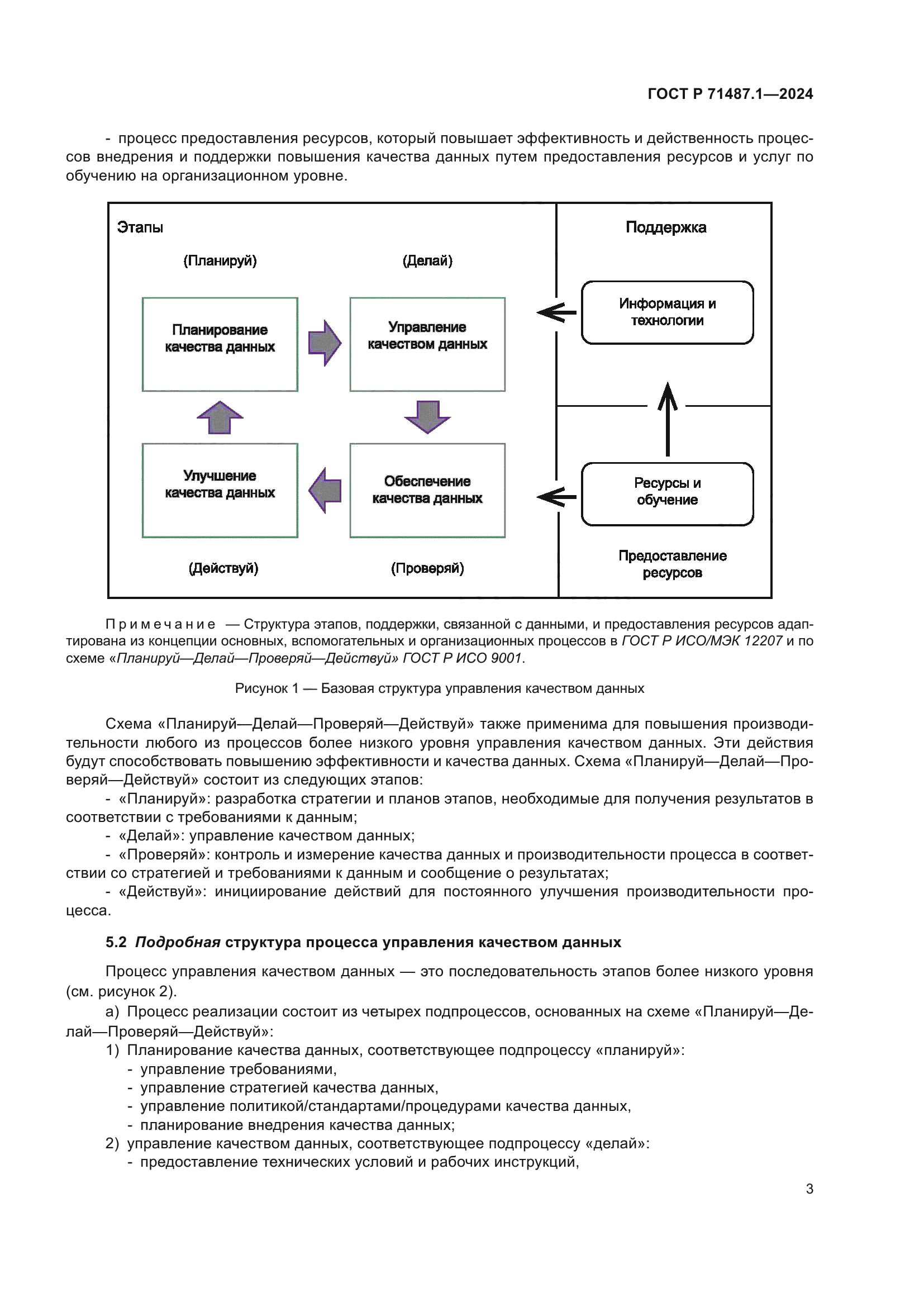
| Название рус.: | Цифровая промышленность. Качество промышленных данных. Часть 61. Управление качеством промышленных данных. Базовая модель процесса | | Название англ.: | Digital industry. Industrial data quality. Part 61. Industrial data quality management. Basic process model | | Дата актуализации текста: | 01.01.2026 | | Дата актуализации описания: | 01.06.2025 | | Дата издания: | 27.11.2024 | | Дата введения: | 01.07.2025 | | Содержит требования: | ISO 8000-61:2016 | | Нормативные ссылки: | ГОСТ Р ИСО 8000-2; ГОСТ Р ИСО 8000-110; ГОСТ Р ИСО 9001–2015; ГОСТ Р ИСО/МЭК 12207 | | Область применения: | Настоящий стандарт устанавливает процессы, необходимые для управления качеством данных. Каждый процесс определяется целью, результатами и действиями, которые должны быть применены для обеспечения качества данных. В область применения настоящего стандарта входят: - фундаментальные принципы управления качеством данных; - структура процесса управления качеством данных; - определения процессов более низкого уровня для управления качеством данных; - взаимосвязь между управлением качеством данных и управлением данными; - требования к этапам управления качеством данных. Подробные методы или процедуры, с помощью которых можно достичь результатов определенных процессов выходят за рамки действия настоящего стандарта. Настоящий стандарт применяется для управления качеством наборов цифровых данных, которые включают в себя не только структурированные данные, хранящиеся в базах данных, но и менее структурированные данные, такие как изображения, аудио, видео и электронные документы. Настоящий стандарт может использоваться организацией, управляющей качеством данных на уровне организации, так как, например, несколько программных приложений совместно используют данные и обмениваются ими. Настоящий стандарт используется в качестве базовой модели процессов внутренними и внешними сторонами, включая органы по сертификации, для оценки возможностей процессов или организационной развитости для управления качеством данных и повышения качества данных за счет усовершенствования процессов. Настоящий стандарт можно использовать вместе со стандартами системы менеджмента качества или независимо от них | |
                      
|