| Обозначение: |  ГОСТ 9.610-2024 |
| Статус: | действующий |
| Название рус.: | Единая система защиты от коррозии и старения. Аноды установок катодной защиты в морской воде и соленых средах. Технические условия |
| Название англ.: | Unified system of corrosion and ageing protection. Anodes of installations of cathodic protection in seawater and salty environments. Specifications |
| Дата актуализации текста: | 01.01.2026 |
| Дата актуализации описания: | 01.12.2024 |
| Дата регистрации: | 31.10.2024 |
| Дата издания: | 26.11.2024 |
| Дата введения: | 01.08.2025 |
| Нормативные ссылки: | ГОСТ 2.114; ГОСТ 12.1.004; ГОСТ 12.2.003; ГОСТ 12.2.007.0; ГОСТ 12.3.009; ГОСТ 12.3.019; ГОСТ 15.001; ГОСТ 15.309; ГОСТ 166; ГОСТ 427; ГОСТ 859; ГОСТ 3345; ГОСТ 5959; ГОСТ 7502; ГОСТ 10198; ГОСТ 13837; ГОСТ 14192; ГОСТ 15150; ГОСТ 17441-84; ГОСТ 18690; ГОСТ 22483 ; ГОСТ 23216-78; ГОСТ 24297; ГОСТ 24606.3; ГОСТ 30630.2.1; ГОСТ 30630.2.6; ГОСТ 31996;ГОСТ OIML R 76-1-2011 |
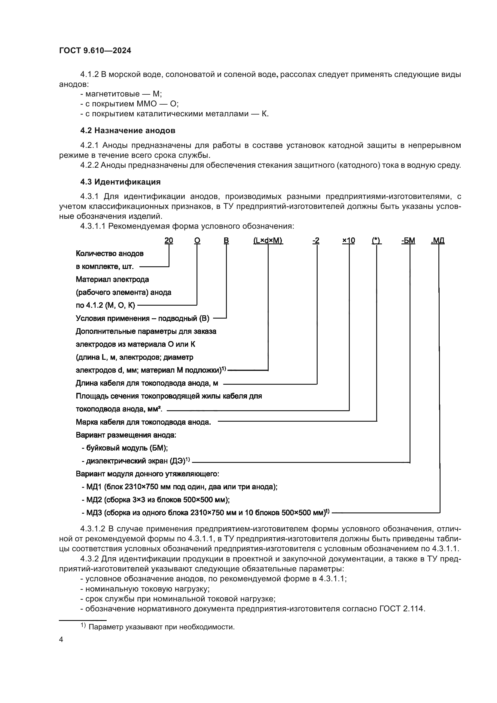
| Область применения: | Настоящий стандарт распространяется на аноды (анодные заземлители), применяемые в установках катодной защиты систем электрохимической защиты от коррозии металлических сооружений: нефте- и газопроводов, нефтепродуктопроводов, других трубопроводов, предназначенных для транспортировки жидких и газообразных сред, газонефтепромысловых, причальных и портовых гидротехнических сооружений, эксплуатирующихся в морской воде, солоноватой и соленой воде, рассолах резервуаров и eмкостного оборудования с водными средами минерализацией от 1 до 200 г·л, и устанавливает технические требования к ним |
| Приложение №1: | Поправка к ГОСТ 9.610-2024 |
|