Скачать ГОСТ Р ИСО 10360-10-2024 Геометрические характеристики изделий. Приемочные и перепроверочные испытания координатно-измерительных систем (КИС). Часть 10. Лазерные трекерыДата актуализации: 01.06.2025 ГОСТ Р ИСО 10360-10-2024
Геометрические характеристики изделий. Приемочные и перепроверочные испытания координатно-измерительных систем (КИС). Часть 10. Лазерные трекеры
| Обозначение: |  ГОСТ Р ИСО 10360-10-2024 |
| Статус: | действующий |
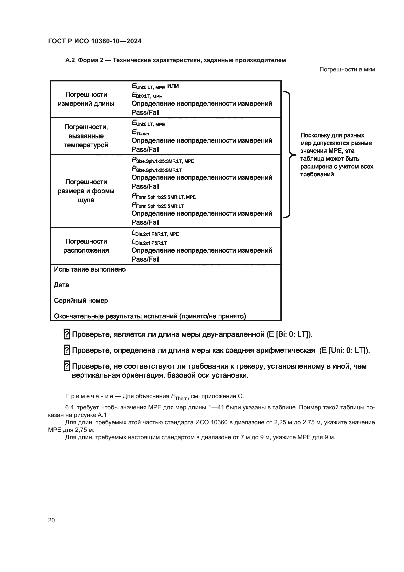
| Название рус.: | Геометрические характеристики изделий. Приемочные и перепроверочные испытания координатно-измерительных систем (КИС). Часть 10. Лазерные трекеры | | Название англ.: | Geometrical product specification. Acceptance and reverification tests for coordinate measuring systems (CMS). Part 10. Laser trackers | | Дата актуализации текста: | 01.12.2024 | | Дата актуализации описания: | 01.01.2025 | | Дата издания: | 12.11.2024 | | Дата введения: | 01.01.2025 | | Аутентичен стандартам: | ISO 10360-10:2021 | | Нормативные ссылки: | ISO 10360-8:2013;ISO 10360-9:2013 | | Область применения: | Настоящий стандарт устанавливает приемочные испытания для проверки работоспособности лазерного трекера путем измерения откалиброванных мер длины в соответствии с требованиями производителя. Он также устанавливает средства перепроверочных испытаний, которые позволяют пользователю периодически проверять работу лазерного трекера. Приемочные и перепроверочные испытания, приведенные в этой части стандарта, применимы только к лазерным трекерам, использующим светоотражатель в качестве ощупывающей системы. Лазерные трекеры, использующие интерферометрию (IFM), измерение абсолютного расстояния (ADM) или и то, и другое, могут быть также проверены с помощью этого стандарта. Настоящий стандарт также может использоваться при испытаниях и проверке сферических координатных систем измерения, использующих совместные мишени, такие как системы «лазерного радара» | |
                                            
|