| Обозначение: |  ГОСТ Р 71653-2024 |
| Статус: | действующий |
| Название рус.: | Мебель судовая из древесных материалов. Общие технические условия |
| Название англ.: | Shipboard wooden furniture. General specifications |
| Дата актуализации текста: | 01.12.2024 |
| Дата актуализации описания: | 01.01.2025 |
| Дата издания: | 07.11.2024 |
| Дата введения: | 01.01.2025 |
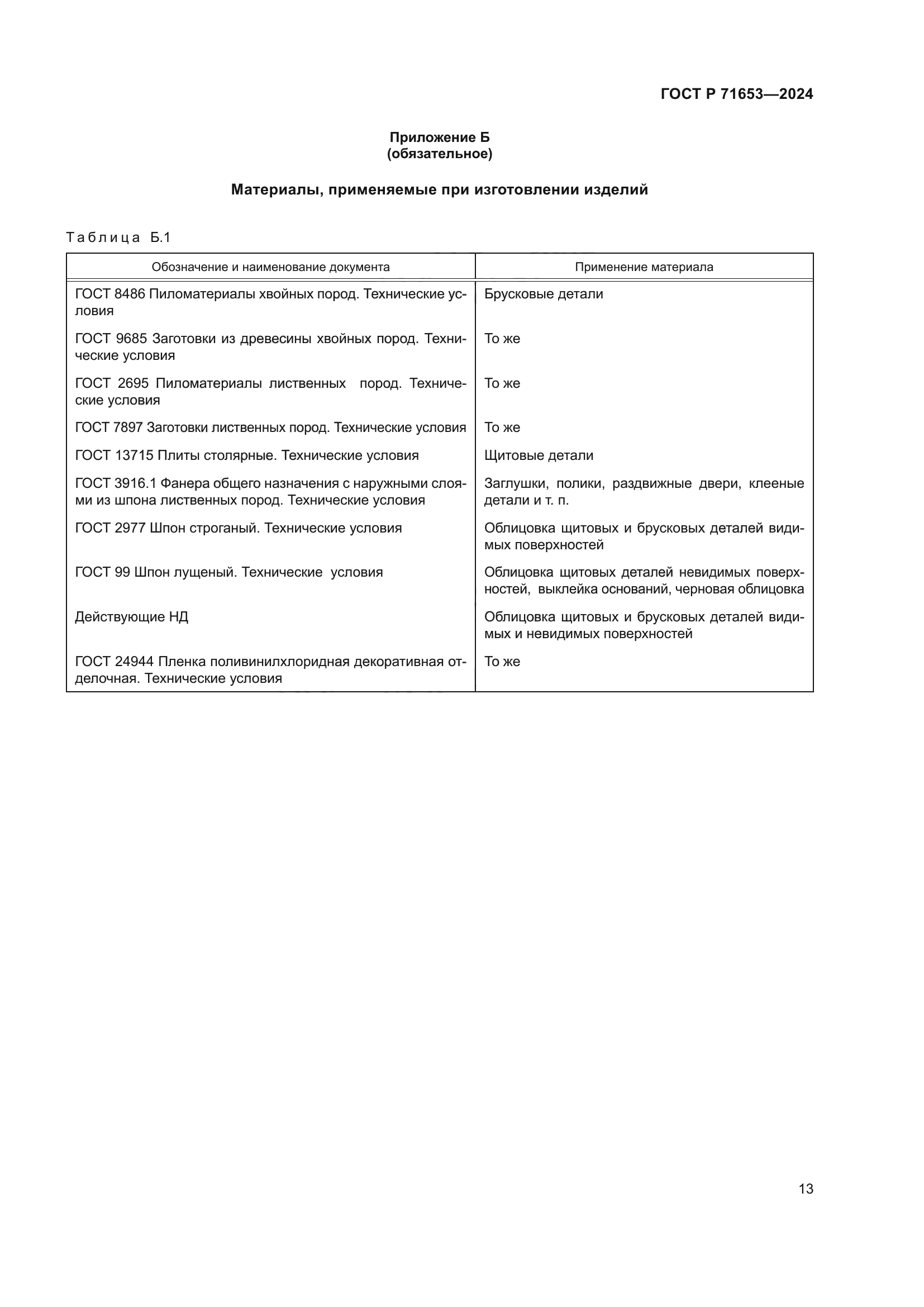
| Нормативные ссылки: | ГОСТ 3; ГОСТ 9.032-74; ГОСТ 9.301; ГОСТ 9.302; ГОСТ 12.1.045; ГОСТ 12.3.002; ГОСТ 12.4.124; ГОСТ 99-2016; ГОСТ 166; ГОСТ 427; ГОСТ 1145-80; ГОСТ 2140; ГОСТ 2695; ГОСТ 2977; ГОСТ 3134; ГОСТ 3916.1-2018; ГОСТ 5378; ГОСТ 5470; ГОСТ 5959; ГОСТ 6449.3-82; ГОСТ 6449.5; ГОСТ 6465; ГОСТ 6799; ГОСТ 7016; ГОСТ 7338-90; ГОСТ 7502; ГОСТ 7897; ГОСТ 7931; ГОСТ 8026; ГОСТ 8486; ГОСТ 9330; ГОСТ 9621; ГОСТ 9685; ГОСТ 10277; ГОСТ 10354; ГОСТ 10637; ГОСТ 10667; ГОСТ 11371; ГОСТ 13715-78; ГОСТ 14192; ГОСТ 14231; ГОСТ 15150; ГОСТ 15152; ГОСТ 15612; ГОСТ 15867; ГОСТ 16371-2014; ГОСТ 16588; ГОСТ 17299; ГОСТ 17473-80; ГОСТ 20400; ГОСТ 21227-2021; ГОСТ 23683; ГОСТ 24944; ГОСТ 28546; ГОСТ Р 2.610; ГОСТ Р 53228; ГОСТ Р 70215; ГОСТ Р 70595 ; ГОСТ Р 71651; ГОСТ Р ИСО 2009-2013; ГОСТ Р ИСО 7046-1-2013;ОК 012-93 |
| Область применения: | Настоящий стандарт распространяется на судовую мебель и немеханическое оборудование из древесных материалов (далее — изделие), предназначенные для оборудования помещений судов и плавсредств (далее — суда) |
|